一阶电路的零输入响应
时间:2023-03-14来源:佚名
1、RC 电路的零输入响应
![]() 分析:
t = 0 时,在换路过程中,电容极板上没有电荷损失,uC不变,即:
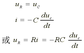
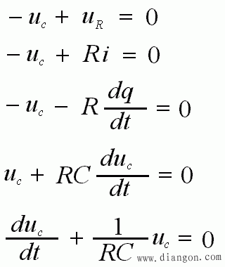
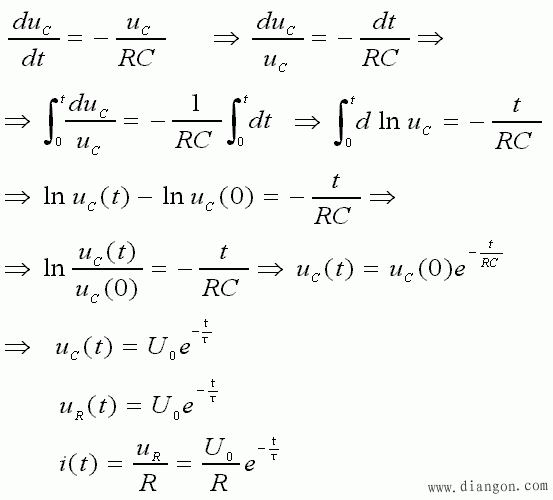
t > 0 ,即开关打向 R 后,电容 C 通过 R 放电,形成放电电流 i ,并在 R 上产生电压降 uR ,随着 C 上电荷的减少, uC 、uR 、i 都在不断减小,直至为 0 。 只要求得 u C ,其它参量可通过下式求得: ![]()
![]()
![]()
![]()
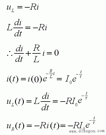
2、RL 电路的零输入响应
![]() 分析:
![]()
![]()
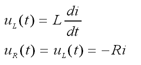
![]() 结论:电感中由初始储能引起的电流响应随时间变化呈指数形式衰减。其衰减的快慢取决于时间常数τ=L/R。τ越大,衰减越慢,τ越小,衰减越快。uL 与标定方向相反,其随时间变化也呈指数形式衰减。在此情况下,起电压源作用。 |

















