电力系统的无功功率电源
时间:2023-03-14来源:佚名
|
1、同步发电机
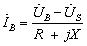
设隐机发电机连在无限大容量系统的母线上,不计电阻,如下图: ![]() 若 不变,则OB的长度可以按一定比例代表额定视在功率SN:SN= UGNIN,OB∝INXd ∝IN ∝SN。因此,OC的长度可以按一定比例代表额定有功功率PN。 当改变cosφ运行时,发电机要受到四个约束条件的限制: (1) 定子温升:I定子→S (2)原动机功率PN (3)转子绕组温升:if<=ifn , 即 Eq<=Eqn (4)其它:超前cosφ时的定子端部温升和并列稳定性 2、同步调相机(Synchronous Condenser) ![]() ![]() 晶闸管投切(开关) 电容器型(thyristor switched capacitor, TSC) ![]() 饱和电抗器型 (saturated reactor, SR) ![]() 晶闸管控制电抗器型静补、饱和电抗器型静补可以既提供感性无功功率,也提供容性无功功率。 5、静止同步补偿器 静止同步补偿器 (Static Synchronous Compensator, STATCOM),又称为静止无功发生器(Static Var Generator,SVG),其主回路主要是由门极可关断晶闸管(Gate Turn Off Thristor, GTO)组成的电压型逆变器(或电源型流变器)和并联直流电容器构成,是利用逆变器产生无功功率,其输出的电流与系统电压基本无关。 ![]() ![]() R jX——变压器的等值阻抗 ![]() 静止同步补偿器的动态性能远优于同步调相机,启动无冲击,调节连续范围大,响应速度快,损耗小。直流侧的电容器只是用来维持直流电压,不需要很大容量,因而装置体积小且经济。
6、 可转换静止补偿器(Convertible Static Compensator,CSC) 7、并联电抗器 |

不变,则OB的长度可以按一定比例代表额定视在功率SN:
UGNIN,OB∝INXd ∝IN ∝SN。


















