转速闭环转差频率控制的变压变频调速系统

时间:2023-03-14来源:佚名
0. 问题的提出
转速开环变频调速系统可以满足平滑调速的要求,但静、动态性能都有限,要提高静、动态性能,首先要用转速反馈闭环控制。转速闭环系统的静特性比开环系统强,这是很明显的,但是,是否能够提高系统的动态性能呢?还得进一步探讨一下。
电力传动的基本控制规律
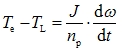
我们知道,任何电力拖动自动控制系统都服从于基本运动方程式:

转速闭环转差频率控制的变压变频调速系统

提高调速系统动态性能主要依靠控制转速的变化率转速闭环转差频率控制的变压变频调速系统,根据基本运动方程式,控制电磁转矩就能控制转速闭环转差频率控制的变压变频调速系统,因此,归根结底,调速系统的动态性能就是控制转矩的能力。
1. 转差频率控制的基本概念
直流电机的转矩与电枢电流成正比,控制电流就能控制转矩,因此,把直流双闭环调速系统转速调节器的输出信号当作电流给定信号,也就是转矩给定信号。
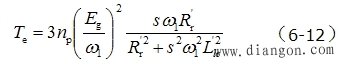
在交流异步电机中,影响转矩的因素较多,控制异步电机转矩的问题也比较复杂。
按照恒 Eg /转速闭环转差频率控制的变压变频调速系统 控制(即恒转速闭环转差频率控制的变压变频调速系统控制)时的电磁转矩公式(6-12)
重写为:转速闭环转差频率控制的变压变频调速系统

转速闭环转差频率控制的变压变频调速系统代入上式,
得:转速闭环转差频率控制的变压变频调速系统
令 ws = sw1 ,并定义为转差角频率;转速闭环转差频率控制的变压变频调速系统,是电机的结构常数;
转速闭环转差频率控制的变压变频调速系统
当电机稳态运行时,s 值很小,因而转速闭环转差频率控制的变压变频调速系统也很小,只有转速闭环转差频率控制的变压变频调速系统的百分之几,可以认为转速闭环转差频率控制的变压变频调速系统,则转矩可近似表示为:
转速闭环转差频率控制的变压变频调速系统

式(6-61)表明,在s 值很小的稳态运行范围内,如果能够保持气隙磁通转速闭环转差频率控制的变压变频调速系统不变,异步电机的转矩就近似与转差角频率转速闭环转差频率控制的变压变频调速系统成正比。这就是说,在异步电机中控制转速闭环转差频率控制的变压变频调速系统,就和直流电机中控制电流一样,能够达到间接控制转矩的目的。
控制转差频率就代表控制转矩,这就是转差频率控制的基本概念。
2. 基于异步电机稳态模型的转差频率控制规律
上面分析所得的转差频率控制概念是在转矩近似公式(6-61)上得到的,当转速闭环转差频率控制的变压变频调速系统较大时,就得采用式(6-12)的精确转矩公式,把这个转矩特性(即机械特性)转速闭环转差频率控制的变压变频调速系统,画在下图

转速闭环转差频率控制的变压变频调速系统
可以看出:
转速闭环转差频率控制的变压变频调速系统较小的稳态运行段上,转矩 Te基本上与转速闭环转差频率控制的变压变频调速系统成正比,
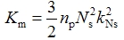
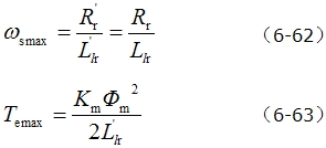
当Te 达到其最大值Temax 时,转速闭环转差频率控制的变压变频调速系统达到转速闭环转差频率控制的变压变频调速系统smax值。
对于式(6-12),取 dTe / d转速闭环转差频率控制的变压变频调速系统s = 0 可得 :
转速闭环转差频率控制的变压变频调速系统
在转差频率控制系统中,只要给转速闭环转差频率控制的变压变频调速系统限幅,使其限幅值为:
转速闭环转差频率控制的变压变频调速系统

就可以基本保持 Te与转速闭环转差频率控制的变压变频调速系统的正比关系,也就可以用转差频率控制来代表转矩控制。这是转差频率控制的基本规律之一。
上述规律是在保持转速闭环转差频率控制的变压变频调速系统恒定的前提下才成立的,于是问题又转化为,如何能保持转速闭环转差频率控制的变压变频调速系统恒定?我们知道,按恒 Eg/转速闭环转差频率控制的变压变频调速系统 控制时可保持转速闭环转差频率控制的变压变频调速系统恒定。在上图的等效电路中可得:

转速闭环转差频率控制的变压变频调速系统
由此可见,要实现恒 Eg/转速闭环转差频率控制的变压变频调速系统控制,须在Us/转速闭环转差频率控制的变压变频调速系统 = 恒值的基础上再提高电压 Us 以补偿定子电流压降。
如果忽略电流相量相位变化的影响,不同定子电流时恒 Eg/转速闭环转差频率控制的变压变频调速系统控制所需的电压-频率特性Us = f (转速闭环转差频率控制的变压变频调速系统, Is) 如下图所示
转速闭环转差频率控制的变压变频调速系统

上述关系表明,只要 Us 和转速闭环转差频率控制的变压变频调速系统及 Is 的关系符合上图所示特性,就能保持 Eg/转速闭环转差频率控制的变压变频调速系统恒定,也就是保持转速闭环转差频率控制的变压变频调速系统恒定。这是转差频率控制的基本规律之二。
总结起来,转差频率控制的规律是:
(1)在转速闭环转差频率控制的变压变频调速系统转速闭环转差频率控制的变压变频调速系统sm 的范围内,转矩 Te 基本上与转速闭环转差频率控制的变压变频调速系统成正比,条件是气隙磁通不变。
(2)在不同的定子电流值时,按上图的函数关系 Us = f (转速闭环转差频率控制的变压变频调速系统 , Is) 控制定子电压和频率,就能保持气隙磁通转速闭环转差频率控制的变压变频调速系统恒定。
3. 转差频率控制的变压变频调速系统
系统组成
控制原理
性能评价
系统组成

转速闭环转差频率控制的变压变频调速系统
控制原理
实现上述转差频率控制规律的转速闭环变压变频调速系统结构原理图如图所示。
频率控制——转速调节器ASR的输出信号是转差频率给定转速闭环转差频率控制的变压变频调速系统
与实测转速信号转速闭环转差频率控制的变压变频调速系统相加,即得定子频率给定信号转速闭环转差频率控制的变压变频调速系统,即
转速闭环转差频率控制的变压变频调速系统

电压控制——由转速闭环转差频率控制的变压变频调速系统和定子电流反馈信号 Is 从微机存储的 Us = f (转速闭环转差频率控制的变压变频调速系统 , Is) 函数中查得定子电压给定信号转速闭环转差频率控制的变压变频调速系统,用转速闭环转差频率控制的变压变频调速系统转速闭环转差频率控制的变压变频调速系统控制 PWM电压型逆变器,即得异步电机调速所需的变压变频电源。
性能评价
式(6-66)所示的转差角频率转速闭环转差频率控制的变压变频调速系统与实测转速信号转速闭环转差频率控制的变压变频调速系统相加后得到定子频率输入信号转速闭环转差频率控制的变压变频调速系统这一关系是转差频率控制系统突出的特点或优点。它表明,在调速过程中,实际频率转速闭环转差频率控制的变压变频调速系统随着实际转速 转速闭环转差频率控制的变压变频调速系统同步地上升或下降,有如水涨而船高,因此加、减速平滑而且稳定。
性能评价(续)
同时,由于在动态过程中转速调节器ASR饱和,系统能用对应于转速闭环转差频率控制的变压变频调速系统sm 的限幅转矩Tem 进行控制,保证了在允许条件下的快速性。
性能评价(续)
由此可见,转速闭环转差频率控制的交流变压变频调速系统能够象直流电机双闭环控制系统那样具有较好的静、动态性能,是一个比较优越的控制策略,结构也不算复杂。
然而,它的静、动态性能还不能完全达到直流双闭环系统的水平,存在差距的原因有以下几个方面:
(1)在分析转差频率控制规律时,是从异步电机稳态等效电路和稳态转矩公式出发的,所谓的“保持磁通转速闭环转差频率控制的变压变频调速系统恒定”的结论也只在稳态情况下才能成立。在动态中转速闭环转差频率控制的变压变频调速系统如何变化还没有深入研究,但肯定不会恒定,这不得不影响系统的实际动态性能。
(2)Us = f (转速闭环转差频率控制的变压变频调速系统 , Is) 函数关系中只抓住了定子电流的幅值,没有控制到电流的相位,而在动态中电流的相位也是影响转矩变化的因素。
(3)在频率控制环节中,取转速闭环转差频率控制的变压变频调速系统 =转速闭环转差频率控制的变压变频调速系统 转速闭环转差频率控制的变压变频调速系统,使频率得以与转速同步升降,这本是转差频率控制的优点。然而,如果转速检测信号不准确或存在干扰,也就会直接给频率造成误差,因为所有这些偏差和干扰都以正反馈的形式毫无衰减地传递到频率控制信号上来了。

    热销商品

    加厚abs安全帽电工建筑工地程施工领导监理透气防砸头盔可印字V型

    这款加厚ABS安全帽专为电工、建筑工地施工人员、领导及监理设计,采用高强度ABS工程塑料,抗冲击、防砸性能优异,有效保障头部安全。帽体加厚设计,增强耐用性与防护等级...
    5.8

    水口钳高硬度模型剪钳电子钳工业级口水剪斜嘴钳偏口斜口专用钳子

    水口钳高硬度模型剪钳是一款工业级精密工具,专为电子、模型制作及精细作业设计。采用优质高碳钢材质,经热处理工艺打造,具备卓越的硬度和耐磨性,可轻松剪切金属引脚、...
    4.8

    170电子剪钳II 如意斜口钳 工业斜嘴钳水口钳 模型剪塑胶钳尖嘴钳

    170电子剪钳II如意斜口钳是一款专业级精密工具,集工业斜嘴钳、水口钳、模型剪、塑胶钳与尖嘴钳功能于一体,适用于电子维修、模型制作、手工艺及精密作业。其采用优...
    4.5

    安全帽国标工地加厚施工领导透气安全头盔建筑工程监理免费印字

    本款安全帽严格遵循国家GB 2811-2019标准,专为建筑工程、工地施工及监理人员设计。采用高强度ABS工程塑料,加厚壳体有效抗冲击,保障头部安全。帽体轻盈透气,内置可调...
    10

    包邮三角型简易螺丝刀三角十字螺丝刀螺丝批改锥起子五金工具5mm

    这款5mm三角型简易螺丝刀,专为拧紧或拆卸三角形螺丝设计,适用于电子维修、家电维护及精密仪器装配等场景。采用优质合金钢材质,刀头硬度高、耐磨损,确保长久使用不变...
    3.64

    网站栏目