在计算多级放大电路的放大倍数时,如何考虑后一级放大电路的负载效应?
时间:2023-03-14来源:佚名
|
多级放大电路总的电压放大倍数为各级放大电路的电压放大倍数之积:
在计算多级放大电路的电压放大倍数时,应考虑后一级放大电路的输入电阻作为前一级放大电路的负载对它的影响。有两种方法可以求得多级放大电路的电压放大倍数: ①在计算各级放大电路的电压放大倍数时,将后一级放大电路的输入电阻作为它的负载。 ②在计算各级放大电路的电压放大倍数时,先假设后级断开(即令RL=∞),求出各级放大电路的开路电压放大倍数
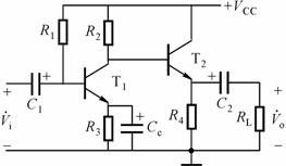
下面以一个实例来说明。 如图的两级放大电路中,若已知T1管的β1、rbe1和T2管的β2、rbe2,且电容C1、C2、Ce在交流通路中均可忽略。
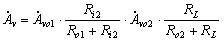
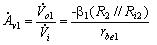
图 1 先以上述的第一种方法进行求解: 将第二级放大电路的输入电阻作为第一级的负载时,第一级的电压放大倍数为:
由于第二级放大电路为射极跟随器,即
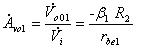
若采用上述的第二种方法进行求解: 假设第二级是断开时:
所以:
比较式(1)(2)不难看出,这两种计算方法尽管处理方法不同,但其结果是完全一致的。 |

。然后将各级放大电路相连,则其总的电压放大倍数为(以两级电路为例):


, 所以:
(1)
,
(2)





