手摇式兆欧表的工作原理
|
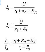
手摇式兆欧表的原理电路如图1所示。图中G为手摇发电机,发电机组件由摇柄、防逆转系统、传动齿轮、离心式摩擦调速系统、发电机等组成;电路系统由倍压整流电路及测量装置磁电式双动圈流比计组成,仪表的指针固定在双动圈上。仪表的三个接线柱分别是:线路端L、接地端E、屏蔽端G。其工作原理如下:
图1 手摇式兆欧表原理电路图 顺时针摇动兆欧表手柄时,手柄使棘轮、齿轮、离心摩擦调速等机构转动,并带动发电机转子以5倍于手柄的转速旋转,定子线圈输出交流电压。棘轮系统是防止转子逆转,离心摩擦调速系统防止转子超速。手柄以额定转速转动时,定子线圈将输出的交流电压,经二极管V1、V2,电容C1、C2倍压整流后,在A、B两端输出直流高压。 测量时被测电阻Rx接于兆欧表的“线路端L”与“接地端E”之间。电压线圈L1、电阻RC和被测电阻RX相串联,电流线圈L2和电阻RV相串联,然后再并联接至A、B两端。设线圈L1电阻为r1,线圈L2电阻为r2,当摇动手摇发电机时,兆欧表将输出直流高电压U,则两个线圈通过的电流分别为: 两式相除得: 式中的r1、r2、RC均为定值,仅RX为变量,所以改变RX会引起比值I1/I2的变化。由于线圈L1与线圈L1绕向相反,流入电流I1和I2在永久磁场作用下,在两个线圈上分别产生两个方向相反的转矩T1和T2, 由于气隙磁场不均匀,因此T1和T2既与对应的电流成正比又与其线圈所处的角度有关。当T1≠T2时指针发生偏转,直到T1=T2时,指针停止。指针偏转的角度只决定于I1和I2的比值,此时指针所指的刻度是被测设备的绝缘电阻值。 当E端与L端短接时,I1为最大,指针顺时针方向偏转到最大位置,即“0”位置;当E、L端未接被测电阻时,RX趋于无穷大,I1=0,指针逆时针方向转到“∞”位置。 |










