深度负反馈放大电路的近似计算
时间:2023-03-14来源:佚名
|
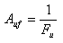
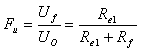
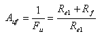
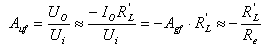
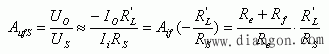
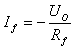
1. 利用公式 的近似计算如果电路满足深度负反馈条件,则有: ![]() 可见,只要根据反馈类型求出相应的反馈系数F( Fu、Fg、Fr、Fi),再应用公式 ,就可求出相应的Af( Auf、Arf、Agf、Aif)。如果反馈组态不属于电压串联负反馈,而要计算电压放大倍数时,还需经过一定转换才能求得。2. 利用公式Xf ≈ XI,的近似计算 根据负反馈放大电路的方框图(图Z0301)可知: ![]() 而深度负反馈放大电路满足 ,所以由上式可得Xf ≈ Xi GS0330 上式说明:在深度负反馈条件下,反馈信号Xf 和外加输入信号Xi近似相等,即在深度负反馈的放大电路中,有效输入信号 经过放大、反馈得到的反馈信号Xf 很强,与外加的输入信号Xi 近似相等,而二者的极性相反,所以, 的数值很小。反馈愈深,Xf 与Xi愈接近相等, 也愈接近于零。在实际的反馈放大电路中,通常当|1+AF| ≥10时,便可认为是深度负反馈。对不同组态的负反馈电路,式Xf ≈Xi中的Xf 和Xi表示不同的电量。 对于串联负反馈电路: Uf ≈Ui 对于并联负反馈电路: If ≈ Ii 利用上述概念和公式,可以大大简化对深度负反馈放大电路电压放大倍数的计算过程,并能得到工程上允许的近似结果。 利用式GS0328时,如何根据电路求得F呢?其方法之一是将反馈网络从电路中分离出来,分离时,对电压反馈,反馈网络与基本放大电路相连端用恒压源Uo代替;对电流反馈,则用恒流源Io代替,如图Z0311(a)、(b)所示。 由于基本放大电路中已经考虑了反馈网络的负载效应,故这种等效代替是可行的。根据这个等效的有源网络,反馈电压Uf(串联反馈)就是AB端的开路电压,而反馈电流Uf(并联反馈)就是AB端的短路电流。列出关系式即可求得相应的反馈系数F。 在深度负反馈情况下,因Xf ≈ Xi ,所以,反馈环内的基本放大电路可以看作理想放大电路,则反馈放大电路的输入、输出电阻为: 电压串联负反馈: ![]() 电医并联负反馈: ![]() 电流串联负反馈: ![]() 电流并联负反馈: ![]() 例题 电路如图Z0312所示。试估算电压放大倍数。 解:已知该电路属于电压串联负反馈组态,故,Af = Auf ,F = Fu (1)利用关系式 ![]() 该电路的反馈网络等效电路如图Z0313所示,由图知: ![]() ![]() 故 ![]() ![]() (2)利用Uf ≈Ui ![]() 例题 电路如图Z0314所示,估算电压放大倍数。 解:由图可判断该电路为电流串联负反馈组态,故 Af = Agf ,F = FR (1) 利用关系式 ![]() 该电路的反馈网络等效电路如图Z0315所示,由图可知 Uf = IoRe (Io = Ie) 故 由定义知 ![]() ![]() (2)利用关系 Uf ≈Ui Uf = Io, Re ≈Ui ![]() 而 ![]() 故 ![]() 可见,利用这种关系求解Auf,不必进行转换。 例题 电路如图Z0316所示。试估算ArfS。 解:这是一个电压并联负反馈电路。故 Af = Arf ,F = Fg (1)利用关系式 该电路的反馈网络等效电路如图Z0316所示。 由图可知: 故 ![]() 而 ![]() (2)利用关系式Ii ≈ If 由电路可知: 而![]() 故 从而可得: 例题 电路如图Z0317 所示。试估算AufS 。 解:该电路为电流并联负反馈组态。它的反馈网络等效电路如图Z0318 所示。 由图可知: 故 而 ![]() |
的近似计算

的数值很小。反馈愈深,Xf 与Xi愈接近相等, 也愈接近于零。在实际的反馈放大电路中,通常当|1+AF| ≥10时,便可认为是深度负反馈。
由于基本放大电路中已经考虑了反馈网络的负载效应,故这种等效代替是可行的。










由定义知 




由图可知:
故 

而
从而可得:
由图可知:









