异步电动机坐标变换和变换矩阵

时间:2023-03-14来源:佚名

在实际应用中必须设法予以简化,简化的基本方法是坐标变换。
1. 交流电机的物理模型
直流电机物理模型简单(励磁绕组d轴上,电枢绕组在q轴上),如果能将交流电机的物理模型(见下图)等效地变换成类似直流电机的模式,分析和控制就可以大大简化。坐标变换正是按照这条思路进行的。 在这里,不同电机模型彼此等效的原则是:在不同坐标下所产生的磁动势完全一致。
(1)交流电机绕组的等效物理模型

异步电动机坐标变换和变换矩阵
(2)等效的两相交流电机绕组
异步电动机坐标变换和变换矩阵
(3)旋转的直流绕组与等效直流电机模型
异步电动机坐标变换和变换矩阵

再看图c中的两个匝数相等且互相垂直的绕组 M 和 T,其中分别通以直流电流异步电动机坐标变换和变换矩阵异步电动机坐标变换和变换矩阵,产生合成磁动势 F ,其位置相对于绕组来说是固定的。
如果让包含两个绕组在内的整个铁心以同步转速旋转,则磁动势 F 自然也随之旋转起来,成为旋转磁动势。
把这个旋转磁动势的大小和转速也控制成与图 a 和图 b 中的磁动势一样,那么这套旋转的直流绕组也就和前面两套固定的交流绕组都等效了。当观察者也站到铁心上和绕组一起旋转时,在他看来,M 和 T 是两个通以直流而相互垂直的静止绕组。
如果控制磁通的位置在 M 轴上,就和直流电机物理模型没有本质上的区别了。这时,绕组M相当于励磁绕组,T 相当于伪静止的电枢绕组。
等效的概念
由此可见,以产生同样的旋转磁动势为准则,图a的三相交流绕
组、图b的两相交流绕组和图c中整体旋转的直流绕组彼此等效。或者说,在三相坐标系下的异步电动机坐标变换和变换矩阵,在两相坐标系下的异步电动机坐标变换和变换矩阵和在旋转两相坐标系下的直流异步电动机坐标变换和变换矩阵是等效的,它们能产生相同的旋转磁动势。
现在的问题是,如何求出异步电动机坐标变换和变换矩阵异步电动机坐标变换和变换矩阵异步电动机坐标变换和变换矩阵之间准确的等效关系,这就是坐标变换的任务。
2. 三相--两相变换(3/2变换)
现在先考虑上述的第一种坐标变换——在三相静止绕组A、B、C和两相静止绕组异步电动机坐标变换和变换矩阵之间的变换,或称三相静止坐标系和两相静止坐标系间的变换,简称 3/2 变换。
三相和两相坐标系与绕组磁动势的空间矢量 :

异步电动机坐标变换和变换矩阵
设磁动势波形是正弦分布的,当三相总磁动势与二相总磁动势相等时,两套绕组瞬时磁动势在异步电动机坐标变换和变换矩阵轴上的投影都应相等,
异步电动机坐标变换和变换矩阵
写成矩阵形式,得:
异步电动机坐标变换和变换矩阵
考虑变换前后总功率不变,在此前提下,可以证明匝数比应为:
异步电动机坐标变换和变换矩阵
为求两项到三项的变换阵将三项到两项的变换阵增广成可逆的方阵,物理意义在两项系统上人为加入零轴磁动势异步电动机坐标变换和变换矩阵并定义
异步电动机坐标变换和变换矩阵
满足功率不变的条件
异步电动机坐标变换和变换矩阵
异步电动机坐标变换和变换矩阵可以求得如下关系:
异步电动机坐标变换和变换矩阵

这表明保持坐标变换前后的功率不变,又要维持磁链相同,变换 前后两项绕组每相匝数应为原三项绕组匝数的异步电动机坐标变换和变换矩阵倍于此同时异步电动机坐标变换和变换矩阵利用上述关系得三项/两项变换方阵:

异步电动机坐标变换和变换矩阵
如要从两相坐标系变换到三相坐标系2/3变换可求反变换:
异步电动机坐标变换和变换矩阵
N3 /N2 值代入式(6-89),得:
异步电动机坐标变换和变换矩阵

3. 两相—两相旋转变换(2s/2r变换)
从上图等效的交流电机绕组和直流电机绕组物理模型的图 b 和图 c 中从两相静止坐标系到两相旋转坐标系 M、T 变换称作两相—两相旋转变换,简称 2s/2r 变换,其中 s 表示静止,r 表示旋转。
把两个坐标系画在一起,即得下图。
两相静止和旋转坐标系与磁动势(电流)空间矢量

异步电动机坐标变换和变换矩阵
2s/2r变换公式
异步电动机坐标变换和变换矩阵
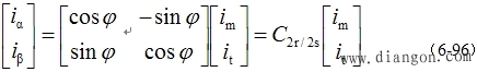
两相旋转—两相静止坐标系的变换矩阵
写成矩阵形式,得:
异步电动机坐标变换和变换矩阵
式中异步电动机坐标变换和变换矩阵
是两相旋转坐标系变换到两相静止坐标系的变换阵。
对式(6-96)两边都左乘以变换阵的逆矩阵,即得 :
异步电动机坐标变换和变换矩阵
异步电动机坐标变换和变换矩阵
两相静止—两相旋转坐标系的变换矩阵
则两相静止坐标系变换到两相旋转坐标系的变换阵是 :
异步电动机坐标变换和变换矩阵

电压和磁链的旋转变换阵也与电流(磁动势)旋转变换阵相同。

    相关阅读

    第一次见!两根6平方线并成一根火线,再用两根6平方线并成一根零线

    有一位网友讲述了他在农村老家翻新时的一个设想,他表示想用两根 6 平方线并成一根火线,同时再用另外两根 6 平方线并成一根零线,以此作为入户线。这不禁让人思考,这样并成的入户...
    2024-09-06
    第一次见!两根6平方线并成一根火线,再用两根6平方线并成一根零线

    什么原因导致电压不够220(电压不到220咋回事)

    什么原因导致电压不够 220V ?220v欠电压原因有、单相容量过大 、线路过长、单相或接地都可能造成单相220伏欠电压。 电压不到220咋回事,我们整理了下面几个原因。 1、供电线路本身...
    2023-06-26
    什么原因导致电压不够220(电压不到220咋回事)

    过载报警、按钮启停、有电源信号灯的电动机380V控制电路

    过载报警、按钮启停、有电源信号灯的电动机380V控制电路如图所示。把图(a)采用电气设备实物连接方法构成的实物接线图,如图(b)所示。 回路送电操作 合上三相隔离开关QS,合上...
    2023-06-13
    过载报警、按钮启停、有电源信号灯的电动机380V控制电路

    漏电断路器图工作原理、参数、选用及使用方法

    (1)作用:主要用于当发生人身触电或漏电时,能迅速切断电源 ,保障人身安全,防止触电事故。有的漏电保护器 还兼有过载、短路保护,用于不频繁起、停电动机 。 (2)工作原理...
    2023-03-21
    漏电断路器图工作原理、参数、选用及使用方法

    电厂发生蓄电池着火事故,切勿慌张,我厂事故预想来帮您

    1. 值长职责: 2. 现场值班员职责: 3. 处理事故的依次侧重点: 4. 汇报原则: (2)值长接到报告但未发现异常信号,不能明确判断是否着火的,应立即安排值班员到现场进行确认,并...
    2023-06-13
    电厂发生蓄电池着火事故,切勿慌张,我厂事故预想来帮您

    热销商品

    加厚abs安全帽电工建筑工地程施工领导监理透气防砸头盔可印字V型

    这款加厚ABS安全帽专为电工、建筑工地施工人员、领导及监理设计,采用高强度ABS工程塑料,抗冲击、防砸性能优异,有效保障头部安全。帽体加厚设计,增强耐用性与防护等级...
    5.8

    水口钳高硬度模型剪钳电子钳工业级口水剪斜嘴钳偏口斜口专用钳子

    水口钳高硬度模型剪钳是一款工业级精密工具,专为电子、模型制作及精细作业设计。采用优质高碳钢材质,经热处理工艺打造,具备卓越的硬度和耐磨性,可轻松剪切金属引脚、...
    4.8

    170电子剪钳II 如意斜口钳 工业斜嘴钳水口钳 模型剪塑胶钳尖嘴钳

    170电子剪钳II如意斜口钳是一款专业级精密工具,集工业斜嘴钳、水口钳、模型剪、塑胶钳与尖嘴钳功能于一体,适用于电子维修、模型制作、手工艺及精密作业。其采用优...
    4.5

    安全帽国标工地加厚施工领导透气安全头盔建筑工程监理免费印字

    本款安全帽严格遵循国家GB 2811-2019标准,专为建筑工程、工地施工及监理人员设计。采用高强度ABS工程塑料,加厚壳体有效抗冲击,保障头部安全。帽体轻盈透气,内置可调...
    10

    包邮三角型简易螺丝刀三角十字螺丝刀螺丝批改锥起子五金工具5mm

    这款5mm三角型简易螺丝刀,专为拧紧或拆卸三角形螺丝设计,适用于电子维修、家电维护及精密仪器装配等场景。采用优质合金钢材质,刀头硬度高、耐磨损,确保长久使用不变...
    3.64

    网站栏目