逻辑代数是按照一定的逻辑规则进行逻辑运算的代数,是分析数字电路的数学工具。对应于逻辑与、逻辑或和逻辑非三种基本逻辑关系,逻辑代数的基本逻辑运算有三种:逻辑乘、逻辑加和逻辑非。
一、逻辑变量有什么特点
逻辑代数中的变量,包括自变量(前因)和因变量(后果),都只有两个取值:“1”和“0”。在逻辑代数中,“1”和“0”不表示具体的数量,而只是表示逻辑状态。例如,电位的高与低、信号的有与无、电路的通与断、开关的闭合与断开、晶体管的截止与导通,等等。
二、逻辑乘
反映逻辑与关系的逻辑运算叫做逻辑乘,其逻辑函数表达
式为:
Y=A·B(可简写为:Y=AB)
式中,A和B是输入变量,Y是输出变量,“· ”表示逻辑乘运算。
1.逻辑乘的意义
逻辑乘的意义是:A和B都为“1”时,Y才为“1”;A 和B中只要有一个为“0”时,Y必为“0”。
例如,在上节提到的两个开关串联控制电灯的电路中(见图2-2),设开关闭合为“1”、断开为“0”,电灯亮为“1”、不亮为“0”,则很明显可以看出:只有当A(S1) = 1并且B(S2) = 1时,才有Y(EL) = 1;A和B中只要有一个为0时,则Y(EL) = 0。由此可见,逻辑乘的运算规则为:
0·0 = 0
0·1 = 0
1·0 = 0
1·1 = 1
将以上运算规则列表,即为逻辑乘的逻辑函数真值表,如表2-4所示。

2.逻辑乘的实现电路
实现逻辑乘的数字电路是与门。图2-5(a)所示为A、B两个输入端的与门,可实现A、B两个输入变量的逻辑乘运算。
逻辑乘的输入变量可以有两个以上,分别用A、B、C、D.表示,相应的逻辑函数表达式为:Y=ABCD.图2-5(b)所示为多输入端与门。

三、逻辑加
反映逻辑或关系的逻辑运算叫做逻辑加,其逻辑函数表达式为:
Y=A B
式中,A和B是输入变量,Y是输出变量,“ ”表示逻辑加运算。
1.逻辑加的意义
逻辑加的意义是:A和B中只要有一个或一个以上为“1”时,Y即为“1”;只有A和B都为“0”时,Y才为“0”。
例如,在上节提到的两个开关并联控制电灯的电路中(见图2-3),设开关闭合为“1”、断开为“0”,电灯亮为“1”、不亮为“0”,则很明显可以看出:只要当A(S1) =1,或者B(S2) =1,或者A、B都=1时,就有Y(EL) =1;只有A和B都为0时,才有Y(EL) = 0。由此可见,逻辑加的运算规则为:
0 0 = 0
0 1 = 1
1 0 = 1
1 1 = 1
将以上运算规则列表,即为逻辑加的逻辑函数真值表,如表2-5 所示。
2.逻辑加的实现电路
实现逻辑加的数字电路是或门。图2-6(a)所示为A、B两个输入端的或门,可实现A、B两个输入变量的逻辑加运算。逻辑加的输入变量可以有两个以上,分别用A、B、C、D.表示,相应的逻辑函数表达式为:Y=A B C D .图2-6(b)所示为多输入端或门。

四、逻辑非
反映逻辑非关系的逻辑运算仍叫做逻辑非,其逻辑函数表达式为:
Y= 
式中,A是输入变量,Y是输出变量,“A”上面加一杠(
)表示对变量A进行逻辑非运算。
1.逻辑非的意义
逻辑非的意义是:A为“1”时,Y即为“0”;A为“0”时,Y即为“1”;Y总是与A相反。
例如,在上节提到的旁路开关控制电灯的电路中(见图2-4),设开关闭合为“1”、断开为“0”,电灯亮为“1”、不亮为“0”,则很明显可以看出:当A(S)=1时,Y(EL) = 0;当A(S)=0时,Y(EL) =1。由此可见,逻辑非的运算规则为:

将以上运算规则列表,即为逻辑非的逻辑函数真值表,如表2-6 所示。

2.逻辑非的实现电路
实现逻辑非的数字电路是非门,也称为反相器。图2-7所示为非门,A为输入端,Y为输出端。

五、基本公式和定律
在分析和解读数字电路时,需要用到一些逻辑代数的基本公式和基本定律。这些基本公式和定律,有的与普通代数相似,例如交换律、结合律、分配律等;有的则是逻辑代数所特有的,例如0-1律、重叠律、互补律、还原律、摩根定理等。下面着重介绍逻辑代数的特殊公式和定律。
1.0-1律
0-1律是逻辑代数的基本定律之一,可用以下4个公式表述:
0·A = 0 (1)
1·A = A (2)
0 A = A (3)
1 A = 1 (4)
以上公式很好理解。前两式属于逻辑乘运算,只有1·1 = 1,否则结果都等于0,因此,(1)式的结果恒等于0,(2)式的结果由A决定。后两式属于逻辑加运算,加数中只要有1,结果就为1,因此,(3)式的结果由A决定,(4)式的结果恒等于1。
2.重叠律
重叠律可用以下2个公式表述:
A A = A (5)
A·A = A (6)
因为A是逻辑变量,取值只能是0或1。在逻辑加运算中,0 0 = 0,1 1 = 1,所以(5)式成立。在逻辑乘运算中,0· 0 = 0,1·1 = 1,所以(6)式成立。
3.互补律
互补律可用公式(7)和公式(8)表述:
A
= 1 (7)
A·
= 0 (8)
因为A和
中必定一个是1、另一个是0,(7)式是逻辑加运算,1 0 = 1;(8)式是逻辑乘运算,1·0 = 0。
4.还原律
还原律可用公式(9)表述:

由于逻辑变量只有1和0两个状态,(9)式说明当对一个逻辑变量进行两次反相后,必然等于该逻辑变量本身。
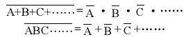
5.摩根定理
摩根定理可用公式(10)和公式(11)表述:

摩根定理又叫反演律,它将逻辑加与逻辑乘有机联系在一起,实现了两者的互相转换,给我们研究、分析和设计数字逻辑电路提供了极大的方便。摩根定理是逻辑代数中最重要的定理之一。
当有两个以上的逻辑变量时,摩根定理仍然成立,即

摩根定理可以用列逻辑函数真值表的方法予以证明。
(1)表2-7所示为
与
·
的真值表,从表中可以看到
与
·
的状态完全相同,因此
=
·
,(10)式成立。

(2)表2-8所示为
与
的真值表,同样证明了
=
,(11)式成立。
