电容器也可以用串并联或自制的方法进行代用,以使其满足需要。
1.改变电容器容量
电容器串并联是改变其容量的最基本的方法。
(1)电容并联可以增大总容量。当两个电容C
1、C
2相并联时,等效为一个电容C,C的容量等于C
1与C
2的和,如图4-109所示。当若干个电容C
1、C
2、„„C
n相并联时,也等效为一个电容C,C的容量等于相并联的所有电容的和,如图4-110所示。

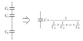
(2)电容串联可以减小总容量。当两个电容C1、C2相串联时,等效为一个电容C,其总容量
,如图4-111所示。当两个相同容量的电容C1相串联时,等效为一个电容C,其总容量
,如图4-112所示。

当若干个电容C1、C2、„„Cn相串联时,也等效为一个电容C,其总容量
,如图4-113所示。当n个相同容量的电容C1相串联时,其等效电容的总容量
,如图4-114所示。

图4-113
2.提高电容器耐压
当现有电容器的耐压不能满足需要时,可以用串联的方法提高电容器的耐压。图4-115所示为两个相同容量的电容C相串联后接于电源VCC上,每一个电容器上所承受的电压UC只有
。

3.无极性大容量电容器的代用
在一些电路中往往需要用到大容量的无极性电容器,可以用有极性的电解电容器反向串联后代用。图4-116所示为两个相同容量的电解电容器C1负极对负极反向串联后,等效为一个无极性的电解电容器C,但其容量减小为C1的一半。
如要保持容量不变,可以用4个相同容量的有极性电解电容器,按图4-117所示进行反向串并联,即可等效为一个无极性的电解电容器C,其容量C = C1。

4.自制电容器 小容量的电容器自制很方便,制作方法也很多。
(1)将两根互相绝缘的导线(例如漆包线等)绞合在一起,如图4-118所示,便构成了一个小容量电容器,其容量约为几个皮法,与双线绞合的长度有关,绞合越长容量越大。
(2)将一根细漆包线紧密缠绕到一根较粗的漆包线上,如图4-119所示,也可以制成电容器,其容量与缠绕的圈数(即包裹粗漆包线的长度)成正比。此方法可以自制几个皮法至几十皮法的电容器。
(3)如果先在粗漆包线上套上一个可以滑动但又不松动的套管,然后再将细漆包线缠绕在该套管上,即制成了一个微调电容器。来回移动套管在粗漆包线上的位置即可改变容量,如图4-120所示,当向左移动套管使其全部套在粗漆包线上时容量最大;当向右移动套管使其只有部分套在粗漆包线上时容量较小。

图4-118

(4)用弹性铜片和敷铜板可以自制微调电容器。先按图4-121所示,用一小块敷铜板刻制成包含定片和动片连接端的印制电路板;用弹性良好的薄铜片剪成图示形状的动片;用塑料绝缘薄膜剪成绝缘片,绝缘片的长宽均应稍大于动片。在印制电路板、动片、绝缘片上均应按图示位置钻出两个小孔。然后将绝缘片、动片依次放在印制电路板上,用空芯铜铆钉穿过右侧的小孔将动片铆固在电路板上,并将动片左侧向上稍稍翘起,如图4-122所示。绝缘片垫在动、定片之间,应保证动、定片不会相碰。再用一枚螺钉穿过左侧的小孔后,拧紧螺帽。将动片右侧焊牢在印制电路板右侧的动片连接端上,微调电容器便做好了,其外形如图4-123所示。旋动螺钉即可调节电容量,旋紧螺钉时容量最大,逐渐旋松螺钉时容量逐渐减小。

图4-121

图4-122

图4-123