为什么负反馈放大电路中,开环和闭环幅频特性在低频段和高频段逐渐趋向重合
时间:2023-03-14来源:佚名
|
由开环增益和闭环增益的表达式,推出开环和闭环幅频特性在低频段和高频段近似重合。
负反馈能展宽通频带,如图所示,那为什么开环和闭环幅频特性在低频段和高频段逐渐趋向重合呢?
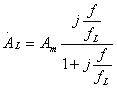
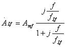
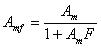
图 负反馈展宽通频带的波特图说明 因为在频率很高和很低时,开环增益已降到很小,负反馈作用随之削弱。此时开环和闭环幅频特性在低频段和高频段逐渐趋于重合。现以低频段为例,加以具体说明。 为便于讨论,设放大电路在低频段只有一个极点,则开环增益为 闭环增益为
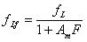
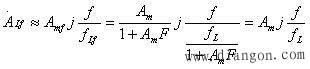
其中: 当f很低时, 开环增益: 即开环和闭环幅频特性在低频段近似重合。 在高频段也可仿照如上方法同样证明,所以开环和闭环幅频特性在低频段和高频段逐渐趋于重合。 |



,
,闭环增益:









