电阻串联与分压器

时间:2023-03-14来源:佚名
电阻串联与分压器

电阻串联与分压器
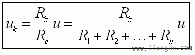
    n 个电阻串联,第 k 个电阻分得的电压:

电阻串联与分压器
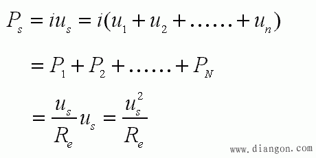
    结论:

      ①串联电路中,总电阻阻值等于各分电阻阻值之和。

      ②每个电阻上电压,按其阻值占总电阻阻值的比例大小分配总电压。

    串联电阻电路的功率计算:
电阻串联与分压器

    相关阅读

    PLC1200仿真软件操作

    PLC1200仿真软件操作 1、打开仿真软件并创建项目8,项目8中PLC、SIM、序列等显示灰色,正在编译程序,下方显示编译完成。错误0,警告信息。 2、仿真软件项目8中PLC、SIM、序列等出现黑...
    2023-03-29
    PLC1200仿真软件操作

    配电箱电器元件的选择配置

    1.总配电箱 的电器应具备电源 隔离,正常接通与分断电路,以及短路、过载、漏电保护功能。 总配电箱(配电柜 )由一个进线单元和一个出线单元组成,或由一个进线单元和数个出...
    2023-03-21

    数字万用表这4种用法,老电工直呼太巧妙了

    01 判断线路或器件带不带电 数字的交流电压挡很灵敏,哪怕周围有很小的感应电压都可以有显示。根据这一特点,可以当作测试电笔用。用法如下:将万用表打到AC20V挡,黑表笔悬空,...
    2023-06-11

    老电工三十年珍藏版自动控制原理图,看看有你需要的吗?

    导语:用电路元件符号表示电路连接的图,叫电路图。电路图是人们为研究、工程规划的需要,用物理电学标准化的符号绘制的一种表示各元器件组成及器件关系的原理布局图。由电路...
    2023-06-11

    快恢复二极管和肖特基二极管的区别

    1.快恢复二极管 开关电源输出电路中,不仅要求二极管有足够的耐压,而且还要求二极管具有良好的开关特性,即具有很短的反向恢复时间,因此,输出电路的整流二极管一般使用快恢...
    2023-04-03
    快恢复二极管和肖特基二极管的区别

    热销商品

    加厚abs安全帽电工建筑工地程施工领导监理透气防砸头盔可印字V型

    这款加厚ABS安全帽专为电工、建筑工地施工人员、领导及监理设计,采用高强度ABS工程塑料,抗冲击、防砸性能优异,有效保障头部安全。帽体加厚设计,增强耐用性与防护等级...
    5.8

    水口钳高硬度模型剪钳电子钳工业级口水剪斜嘴钳偏口斜口专用钳子

    水口钳高硬度模型剪钳是一款工业级精密工具,专为电子、模型制作及精细作业设计。采用优质高碳钢材质,经热处理工艺打造,具备卓越的硬度和耐磨性,可轻松剪切金属引脚、...
    4.8

    170电子剪钳II 如意斜口钳 工业斜嘴钳水口钳 模型剪塑胶钳尖嘴钳

    170电子剪钳II如意斜口钳是一款专业级精密工具,集工业斜嘴钳、水口钳、模型剪、塑胶钳与尖嘴钳功能于一体,适用于电子维修、模型制作、手工艺及精密作业。其采用优...
    4.5

    安全帽国标工地加厚施工领导透气安全头盔建筑工程监理免费印字

    本款安全帽严格遵循国家GB 2811-2019标准,专为建筑工程、工地施工及监理人员设计。采用高强度ABS工程塑料,加厚壳体有效抗冲击,保障头部安全。帽体轻盈透气,内置可调...
    10

    包邮三角型简易螺丝刀三角十字螺丝刀螺丝批改锥起子五金工具5mm

    这款5mm三角型简易螺丝刀,专为拧紧或拆卸三角形螺丝设计,适用于电子维修、家电维护及精密仪器装配等场景。采用优质合金钢材质,刀头硬度高、耐磨损,确保长久使用不变...
    3.64

    网站栏目