线电压/电流与相电压/电流的关系

时间:2023-03-14来源:佚名

    每一相的电压叫相电压,如 uA。端线之间的电压叫线电压,如 uAB

    通过每一相电源的电流叫相电流,如 IA。通过端线中的电流叫线电流,如IAB

1. 对称星形或Y三相电路电源的电压、电流

线电压/电流与相电压/电流的关系
    对称星形电源,依据KVL,有:

线电压/电流与相电压/电流的关系
    即:线电压是相电压的根三倍,线电流等于相电流。

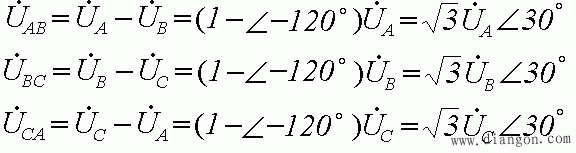
2. 对称三角形三相电路电源的电压、电流

线电压/电流与相电压/电流的关系
    对称三角形电源,依据 KVL 和 KCL,有:
    线电压/电流与相电压/电流的关系
        即:线电压等于相电压,线电流等于相电流的根三倍。

        相关阅读

        月薪八千找维修电工,听说倒班需要上24个小时,吓得电工掉头就跑

        在一个阳光明媚的早晨,某钢厂的招聘公告吸引了众多电工的目光。月薪高达8000元,管住不管吃,工作满半年后还为员工购买养老保险,听起来无疑是个“金饭碗”。当招聘负责...
        2024-08-09
        月薪八千找维修电工,听说倒班需要上24个小时,吓得电工掉头就跑

        如何避免电焊机触电事故

        电焊机实际上就是具有下降外特性的变压器,将输入电压220V或380V交流电变为低压电。 电焊机一般按输出电源种类可分为两种,一种是交流电源的;一种是直流电的。 直流电焊机可以说...
        2023-06-19

        配电箱及开关箱的设置

        1.施工现场的配电系统应设置总配电箱 (配电柜 )、分配电箱、开关箱实行三级配电,二级漏电保护。 2.总配电箱(配电柜)以下可设置若干分配电箱,分配电箱以下可设若干开关...
        2023-03-21

        绘制电气原理图使用什么工具

        在进行电气设计时,会经常用到一些绘图工具,今天咱们介绍三款电气绘制常用的工具 1.CAD,这款软件的适用范围广,无论机械还是电气基本上都能用到。CAD可以绘制电气系统图和电气...
        2023-04-04
        绘制电气原理图使用什么工具

        老电工制作小功率隔离变压器

        【免费下载】 PLC软件下载_PLC软件安装教程_PLC手册下载_PLC案例下载! 【免费学习】 变频器精品课程_西门子PLC精品教程_三菱PLC精品教程! 隔离变压器是变压器的一种,是变比为1:1的变...
        2023-06-27

        热销商品

        加厚abs安全帽电工建筑工地程施工领导监理透气防砸头盔可印字V型

        这款加厚ABS安全帽专为电工、建筑工地施工人员、领导及监理设计,采用高强度ABS工程塑料,抗冲击、防砸性能优异,有效保障头部安全。帽体加厚设计,增强耐用性与防护等级...
        5.8

        水口钳高硬度模型剪钳电子钳工业级口水剪斜嘴钳偏口斜口专用钳子

        水口钳高硬度模型剪钳是一款工业级精密工具,专为电子、模型制作及精细作业设计。采用优质高碳钢材质,经热处理工艺打造,具备卓越的硬度和耐磨性,可轻松剪切金属引脚、...
        4.8

        170电子剪钳II 如意斜口钳 工业斜嘴钳水口钳 模型剪塑胶钳尖嘴钳

        170电子剪钳II如意斜口钳是一款专业级精密工具,集工业斜嘴钳、水口钳、模型剪、塑胶钳与尖嘴钳功能于一体,适用于电子维修、模型制作、手工艺及精密作业。其采用优...
        4.5

        安全帽国标工地加厚施工领导透气安全头盔建筑工程监理免费印字

        本款安全帽严格遵循国家GB 2811-2019标准,专为建筑工程、工地施工及监理人员设计。采用高强度ABS工程塑料,加厚壳体有效抗冲击,保障头部安全。帽体轻盈透气,内置可调...
        10

        包邮三角型简易螺丝刀三角十字螺丝刀螺丝批改锥起子五金工具5mm

        这款5mm三角型简易螺丝刀,专为拧紧或拆卸三角形螺丝设计,适用于电子维修、家电维护及精密仪器装配等场景。采用优质合金钢材质,刀头硬度高、耐磨损,确保长久使用不变...
        3.64

        网站栏目