串联电路
时间:2023-03-14来源:佚名
|
1、电压与电流的关系
(a) (b) 图1 RLC串联电路 设
X——电路的等效电抗,
图2 LC电路相量图
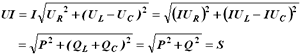
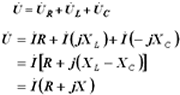
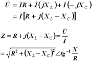
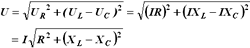
且有:
图3 电压、阻抗、功率三角形 由
阻抗模为:
式中P=IUR——电阻消耗的有功功率,单位W; |
|
1、电压与电流的关系
(a) (b) 图1 RLC串联电路 设
X——电路的等效电抗,
图2 LC电路相量图
且有:
图3 电压、阻抗、功率三角形 由
阻抗模为:
式中P=IUR——电阻消耗的有功功率,单位W; |









