高共模抑制比放大电路
时间:2023-03-14来源:佚名
|
高共模抑制比放大电路:用来抑制传感器输出共模电压(包括干扰电压)的放大电路。应用于要求共模抑制比大于100dB的场合,例如人体心电测量。 |
|
| 典型测量放大电路 高共模抑制比放大电路 CMRR对电路的影响
|
|
![]() |
| 三运放高共模抑制比放大电路 |
|
![]() |
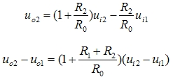
| 差模增益 |
![]() |
| 单片集成运算放大器有AD621,AD612,AD614 |
|
高共模抑制比放大电路:用来抑制传感器输出共模电压(包括干扰电压)的放大电路。应用于要求共模抑制比大于100dB的场合,例如人体心电测量。 |
|
| 典型测量放大电路 高共模抑制比放大电路 CMRR对电路的影响
|
|
![]() |
| 三运放高共模抑制比放大电路 |
|
![]() |
| 差模增益 |
![]() |
| 单片集成运算放大器有AD621,AD612,AD614 |








