功率二极管的基本特性
时间:2023-03-15来源:佚名
|
关断过程:须经过一段短暂的时间才能重新获得反向阻断能力,进入截止状态。关断之前有较大的反向电流出现,并伴随有明显的反向电压过冲。 |
|
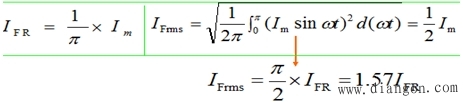
| 功率二极管主要参数: (1) 反向重复峰值电压URRM 取反向不重复峰值电压URSM的80%称为反向重复峰值电压URRM,也被定义为二极管的额定电压URR。显然,URRM小于二极管的反向击穿电压URO。 (2) 额定电流IFR 额定电流IFR被定义为其额定发热所允许的正弦半波电流平均值。其正向导通流过额定电流时的电压降UFR一般为1~2V。当二极管在规定的环境温度为 40℃和散热条件下工作时,通过正弦半波电流平均值IFR时,其管芯PN结温升不超过允许值。若正弦电流的最大值为Im,则额定电流为 |
|
| (3) 最大允许的全周期均方根正向电流IFrms 二极管流过半波正弦电流的平均值为IFR时,与其发热等效的全周期均方根正向电流IFrms为
|
|
| (4) 最大允许非重复浪涌电流IFSM 这是二极管所允许的半周期峰值浪涌电流。该值比二极管的额定电流要大得多。实际上它体现了二极管抗短路冲击电流的能力。 功率二极管属于功率最大的半导体器件,现在其最大额定电压、电流在6kV、6kA以上。二极管的参数是正确选用二极管的依据。 |







