二极管及其应用
时间:2023-03-15来源:佚名
|
二极管的符号
|
![]() |
|
|
| 根据半导体的物理原理,可从理论上分析得到PN结的伏安特性的表达式,此式通常称为二极管方程,即: |
![]() |
| IS为反向饱和电流 UT为温度的电压当量,在常温(300K)下, UT=26mV。 当U>0时,且U>>UT,则电流I与U基本成指数关系。 当U<0时,且U>>UT,则电流I=-IS 1. 最大整流电流IOM 二极管长期使用时,允许流过二极管的最大正向平均电流。 2. 反向工作峰值电压URWM 是保证二极管不被击穿而给出的反向峰值电压,一般是二极管反向击穿电压UBR的一半。二极管击穿后单向导电性被破坏,甚至过热而烧坏。 3. 反向峰值电流IRM 指二极管加最高反向工作电压时的反向电流。反向电流大,说明管子的单向导电性差,IRM受温度的影响,温度越高反向电流越大。硅管的反向电流较小,锗管的反向电流较大,为硅管的几十到几百倍。 4 最高工作频率fM 是二极管工作的上限频率。它主要由PN结的结电容大小决定。信号频率超过此值时,二极管的单向导电性将变差。应该指出,由于制造工艺的限制,即使是同一型号的器件,其参数的离散性也很大,因此,手册上常常给出参数的范围。另一方面,器件手册上给出的参数是在一定测试条件下测得的,若条件改变,相应的参数值也会变化。 影响工作频率的原因 —PN 结的电容效应 |
![]() |
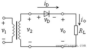
| 结论: 1. 低频时,因结电容很小,对 PN 结影响很小。 高频时,因容抗增大,使结电容分流,导致单向导电性变差。 2. 结面积小时结电容小,工作频率高。 整流电路 作用:把交流电转换成脉动直流电。 分类: 半波整流 全波整流 桥式整流 倍压整流 1、单相半波整流电路 单相半波整流电路如图(a)所示波形图如图(b)所示。
|
![]() |
| (a)电路图 |
|
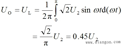
| (b)波形图 根据图可知,输出电压在一个工频周期内,只是正半周导电,在负载上得到的是半个正弦波。负载上输出平均电压为 |
|
| 流过负载和二极管的平均电流为 |
|
| 二极管所承受的最大反向电压 |
![]() |
| 2、桥式整流电路 (1)组成:由四个二极管组成桥路 |
![]() |
| (2)工作原理: u2正半周时:D1 、D3导通, D2、D4截止 |
|
| u2负半周时: D2、D4 导通, D1 、D3截止 (3)主要参数: 输出电压平均值:Uo=0.9u2 输出电流平均值:Io=Uo/Ro=0.9u2 / RL 流过二极管的平均电流:ID=Io/2 二极管承受的最大反向电压: |
![]() |
| 电容滤波 1.电路和工作原理 |
|
| V 导通时给 C 充电,V 截止时 C 向 RL 放电;滤波后 uo 的波形变得平缓,平均值提高。 1. RL未接入时 |
|
| 2. RL接入(且RLC较大) |
![]() |
|
电容滤波电路的特点 |
![]() |
| 输出波形随负载 电阻 RL 或 C 的变化而改变, Uo 也随之改变。如: RL 愈小( IL 越大), Uo下降多。 结论:电容滤波电路适用于输出电压较高,负载电流较小且负载变动不大的场合。 元件选择 (1) 电容选择: 滤波电容C的大小取决于放电回路的时间常数,RLC愈大, 输出电压脉动就愈小, 通常取RLC为脉动电压中最低次谐波周期的3~5倍, 即 |
![]() |
|
(2) 整流二极管的选择。 |
![]() |
|
例:单相桥式电容滤波整流,交流电源频率 f = 50 Hz,负载电阻 RL = 40,要求直流输出电压 UO = 20 V,选择整流二极管及滤波电容。 |
![]() |
|
电流平均值: |
|
| 承受最高反压: |
![]() |
| 选二极管应满足: |
|
| 可选:2CZ55C(IF = 1 A,URM = 100 V)或 1 A、100 V 整流桥选用二极管的一般原则是: 2. 选滤波电容 |
![]() |
|
|
| 可选:1000F,耐压 50 V 的电解电容。 倍压整流电路 二倍压整流电路 u2的正半周时:D1导通,D2截止,理想情况下,电容C1的电压充到: u2的负半周时:D2导通,D1截止,理想情况下,电容C2的电压充到: |
![]() |
负载上的电压:![]() 特殊二极管 1. 稳压二极管的特性 2. 发光二极管的特性 3. 光电二极管的特性 4. 变容二极管的特性 稳压二极管伏安特性 稳压管正常工作时加反向电压;稳压管反向击穿后,电流变化很大,但其两端电压变化很小,利用此特性,稳压管在电路中可起稳压作用。 |
|
| 稳压二极管工作原理:ui保障其处于反向击穿状态;R:限流电阻,保证DZ中电流不超过最大稳定电流 IZM;RL:负载电阻 |
![]() |
| 工作原理: 当输入电压ui变化时,如 |
|
| 当负载变化时,如: |
|
| 主要参数 稳定电压UZ:稳压管正常工作(反向击穿)时管子两端的电压 电压温度系数:环境温度每变化1度引起稳压值变化的百分数。 低于6V的稳压管,电压温度系数为负;高于6V的稳压管,电压温度系数为 正;而6V左右的管子稳压值受温度变化影响的比较小。 对于温度变化范围比较大,又要求稳压值的温度稳定性好,可选用具有温度补偿的稳压管。也可以将两个同型号稳压管反向串接起来使用,方可达到目的。 动态电阻:稳压管电压的变化量与电流变化量的比值。 rZ愈小,曲线愈陡,稳压性能愈好稳定电流 IZ 、最大稳定电流 IZM;最大允许耗散功率 PZM = UZ*IZM 光电二极管(光敏二极管) 原理:与PN结二极管相似,但在它的PN结处,通过管壳上的一个玻璃窗口能接收外部的光照。光电二极管是在反向电压作用下工作的,没有光照时,反向电流极其微弱,叫暗电流;有光照时,反向电流迅速增大到几十微安,称为光电流。光的强度越大,反向电流也越大。光的变化引起光电二极管电流变化,这就可以把光信号转换成电信号,成为光电传感器件。 |
![]() |
| 特点工作于反偏状态下,它的反向电流与光照成正比。 |









(T:电源电压的周期)









rZ愈小,曲线愈陡,稳压性能愈好








