测量无功电能的意义
|
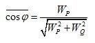
电源通过线路传输的视在功率S包含有功功率P和无功功率Q。P描述的是被用电设备实际消耗掉、不能再逆转的能量大小P=UIcosφ ;而Q反映的是用电设备与电源之间来回传输而不被消耗且可逆转的能量大小Q=UIsinφ。用电设备的功率因数cosφ可以反映Q的大小。 式中,WP=考核期内客户消耗的有功电能,单位kW•h; 一、客户功率因数过低危害(1)电气设备的利用率降低。例如一台铭牌容量S=400kV•A的变压器,它能输出的有功功率最大值为 (2)末端电压质量下降。设输电线路回路电阻为R,电抗为X,则线路电压损失估算值为: 用电设备的功率因数越低,线路输送的Q就越大。由上式可知,传送线上的电压降就越大,则用电设备的末端电压质量越差。这会直接影响电气设备的正常运行。 (3)线路的有功损耗增加。设三相线路通过的电流为I,输电线路的交流等值电阻为R,则线路的有功损耗为: 当传输的有功功率一定时,由式上式可见,cosφ越低,有功损耗越大。
(4)客户的电费支出增加。为充分挖掘和挥发供电设备的生产能力,必须督促客户自觉提高cosφ。 二、平均功率因数
|
,为: 
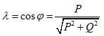
。若用电设备的功率因素减小,如当cosφ=0.8时,
,则变压器输出的有功功率P将减小,其利用率随之降低。
计算
(图片例1) 







