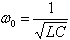
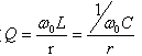
图1 并联谐振回路
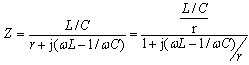
并联谐振回路如图1(a)所示,注意图中r代表电感L的损耗电阻,通常r很小, ;电容器的损耗很小,一般略去其损耗电阻。为了计算方便,电感的损耗电阻也可用并联于L上的电阻 表示,如图1(b)所示。 1、并联谐振回路的基本参数: 并联谐振频率 品质因数定义: 空载(即没有带负载,没有接信号源)品质因数 2、并联谐振回路的阻抗特性
  令 ,则 , 3、并联谐振回路的通频带 设 表示为任意频率下的回路电压, 为谐振频率下的电压,即:
则并联谐振回路输出电压幅频特性为:
 输出电压相频特性为:
通频带:输出电压幅频谐振曲线上由最大值下降到0.707时所包含的频率范围为回路的通频带,用 表示,也叫3dB带宽。 |