差动放大电路的工作原理
时间:2023-03-15来源:佚名
|
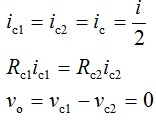
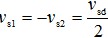
差动放大电路能放大差模信号,抑制共模信号 (1)静态分析,因没有输入信号,即vs1=vs2=0时,由于电路完全对称: 所以输入为0时,输出也为0。 (2)加入差模信号时,即 在差动式电路中,无论是温度的变化,还是电流源的波动都会引起两个三极管的ic及vc的变化。这个效果相当于在两个输入端加入了共模信号,理想情况下,vo不变从而抑制了零漂。当然实际情况下,要做到两管完全对称和理想恒流源是比较困难的,但输出漂移电压将大为减小。 |

。从电路看:vb1增大使得ib1增大,使ic1增大使得vc1减小。vb2减小使得ib2减小,又使ic2减小,使得vc2增大。由此可推出:vo=vc1-vc2=2v(v为每管变化量)。若在输入端加共模信号,即vs1=vs2。由于电路的对称性和恒流源偏置,理想情况下,vo=0,无输出。这就是所谓“差动”的意思:两个输入端之间有差别,输出端才有变动。







