放大电路的动态分析
时间:2023-03-15来源:佚名
|
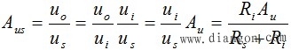
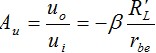
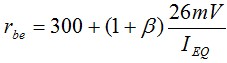
动态分析就是求解各动态参数和分析输出波形。通常采用图解分析的方法或微变等效电路的方法。 1、图解分析方法 图解法就是利用晶体管的特性曲线在静态分析的基础上,用作图的方法来分析各个电压和电流交流分量之间的传输情况和相互关系,确定最大不失真输出电压的幅值、分析非线性失真等情况。 (1)交流负载线 直流负载线反映静态时电流IC和UCE的变化关系,其斜率为1/Rc,交流负载线反映动态时电流iC和VCE的变化关系,交流负载线是有交流输入信号时工作点的运动轨迹。 交流负载线的画法:先作出直流负载线,找出Q点;然后过Q点作一条斜率为1/R'L(R'L= Rc//RL)的直线,即为交流负载线。 (2)图解分析 输入交流信号时的图解分析,如图1。 ![]() 图1 输入交流信号的图解分析 (3)非线性失真 对放大电路有一个基本要求就是输出信号的波形与输入信号波形尽可能相似,即失真要小。引起失真的原因有多种,其中最基本的一个,就是静态工作的不合适或者信号太大,使放大电路的工作范围超出了晶体管的线性区,这种失真通常称为非线性失真。 放大电路的工作点太高,使放大电路进入三极管的饱和区工作而引起的非线性失真称为饱和失真。当放大电路的工作点太低,使放大电路进入三极管的截止区工作而引起的非线性失真称为截止失真。如图2所示。由此可见,放大电路要想获得大的不失真输出幅度,要求工作点Q要设置在输出特性曲线放大区的中间部位。 ![]() 图2 截止失真和饱和失真 2、微变等效电路法 下面介绍放大电路工作在小信号范围内时,利用微变等效电路来分析放大电路输入电阻、输出电阻和电压放大倍数的方法。 (1)三极管的微变等效电路 三极管是非线性元件,在一定的条件(输入信号幅度小,即微变)下可以用一个等效的线性电路来代替,从而把放大电路转换成等效的线性电路,使分析、计算大为简化。下面以共射接法介绍三极管的微变等效电路。 ![]() 图3 输入特性和输出特性 首先来研究一下共射接法时三极管的输入/输出特性。从图3(a)可知,在输入特性Q点附近,特性曲线基本上是一段直线,即可认为 成正比,因而可以用一个等效电阻来代表输入电压和输入电流之间的关系。我们把这个电阻称为三极管的输入电阻,用rbe表示,即有, 根据半导体物理分析,对于一般的低频小功率管接成共射电路时,其输入电阻常用下式来估算。 再从图3(b)所示的输出特性看,假定在Q点附近特性曲线基本上是水平的,即 ,而只取决与于 。在数量关系上 倍。所以,从三极管的输出端看进去,可以用一个大小为 的电流源来代替三极管两端电压。值得注意的是,这个电流源是一个受控源而不是独立电流源。受控源 实质上体现了基极电流ib对集电极电流ic的控制作用。这样,就得到图4所示三极管的微变等效电路。![]() 图4 微变等效电路 (2)放大电路微变等效电路分析方法 ![]() 图5 典型射极偏置电路的微变等效电路 首先,根据原理图5(a)画出交流通路5(b),然后把交流通路中的三极管用其等效电路代替,即可得到如图5(c)所示的微变等效电路。 所以有: 信号源电压放大倍数: ![]() 式中,负号表示输出电压与输入电压反相,故共发射极电路具有反相作用。从图5(c)还可求得基本放大电路的输入电阻和输出电阻分别为: ![]() |



成正比,因而可以用一个等效电阻来代表输入电压和输入电流之间的关系。我们把这个电阻称为三极管的输入电阻,用
,而只取决与于
。在数量关系上
倍。所以,从三极管的输出端看进去,可以用一个大小为
的电流源来代替三极管两端电压。值得注意的是,这个电流源是一个受控源而不是独立电流源。受控源

的定义及等效电路,由输入回路可求得:
,由输出回路可得:
,
所以有:










