
图3 反馈振荡器电压平衡过程
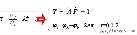
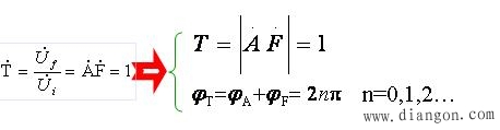
振荡器维持等幅等频振荡的条件称为平衡条件。平衡状态下,振荡器的
。平衡过程电压如图4所示。平衡条件如图5所示。

图4反馈振荡器电压平衡过程
图5反馈振荡器的平衡条件
3、稳定条件
振荡器的平衡条件一旦被破坏,当破坏条件消失后,振荡器能够回复到原来的平衡状态的条件成为振荡器的稳定条件,稳定条件又分为振幅稳定条件和相位稳定条件。
(1)振幅稳定条件
要保证振幅稳定,要求在平衡点附近,放大器增益随信号振幅的变化具有负斜率,如图6所示。

图6 振幅稳定条件的图解表示
实际中,由于工作于大信号状态下的非线性有源器件正好具有这种特性,自然具有稳定幅度的功能。
(2)相位稳定条件
要保证振荡的相位平衡点的稳定,必须当振荡器频率发生变化的同时,要求振荡电路内部能够产生一个新的相位变化,而这个相位变化与外因引起的相位变化相反,以消弱或抵消由外因引起的变化。因此
。 实际中电路中
主要由谐振放大器的负载并联LC电路的相位
决定,而并联LC谐振回路正好具有这种相频特性,如图7所示。
图7 相位稳定条件的图解表示
综上所述,反馈振荡器的稳定条件如图8所示。
图8 振荡器稳定条件