交流电压的测量
|
一、交流电压的表征 交流电压可以用峰值、平均值、有效值、波峰因数和波形因数来表征。
注:以直流分量为参考的最大电压幅值则称为振幅,(通常用Um表示)。
数学上定义为: 表1 不同波形交流电压的参数 测量交流电压的方法很多,依据的原理也不同。其中最主要的是利用交流/直流(AC/DC)转换电路将交流电压转换成直流电压,然后再接到直流电压表上进行测量。 根据AC/DC转换器的类型,可分成检波法和热电转换法。根据检波特性的不同,检波法又可分成平均值检波、峰值检波、有效值检波等。 模拟电压表组成方案 检波器是实现交流电压测量(AC-DC变换)的核心部件,同时,为了测量小信号电压,放大器也是电压表中不可缺少的部件,因此,组成方案有两种类型: 一种是先检波后放大,称为检波-放大式; 一种是先放大后检波,称为放大-检波式。 模拟电压表的两个重要指标:带宽和灵敏度(分辨力)。 检波-放大式和检波-放大式的特点:检波二极管的非线性,限制了检波—放大式电压表的灵敏度,因此虽然其频率范围较宽,但测量灵敏度一般仅达到mV级。 而对于放大—检波式电压表,由于受到放大器增益与带宽矛盾的限制,虽然灵敏度可以提高,但频率范围却较窄,一般在10MHz以下。 1.峰值电压表
当输入u(t)为正弦波时,读数α即为u(t)的有效值V(而不是该纯正弦波的均值)。 对于非正弦波的任意波形,读数α没有直接意义(既不等于其均值也不等于其有效值V)。但可由读数α换算出均值和有效值。 刻度特性 由读数α换算出均值和有效值的换算步骤如下:
上述过程可统一推导如下:
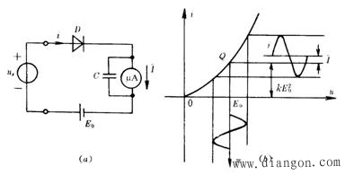
真空或半导体二极管在其正向特性的起始部分,具有近似的平方律关系,如图9所示。图中E0为偏置电压,当信号电压ux较小时,有
有效值电压表的特点:理论上不存在波形误差,因此也称真有效值电压表(读数与波形无关)。
|

,如图2所示。
,实质上即数学上的均方根定义,因此电压有效值有时也写作Urms。 
;









的被测波形(任意波)输入 ,即
,再根据该波形的波形因数(查表可得),其有效值

式中,α为均值电压表读数,KF为波形因数。 

式中k是与二极管特性有关的系数(称为检波系数).由于电容C的积分(滤波)作用,流过微安表的电流正比于i的平均值,即
,从而实现了有效值转换。 
。 
,













