疏失误差及其判断准则
时间:2023-03-15来源:佚名
|
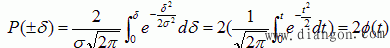
一、测量结果的置信问题 1.置信概率与置信区间 ![]() 置信区间 :即所选择的这个范围,一般用标准差的倍数表示,如 ;置信度(置信概率):用来描述测量结果处于某一范围内( )内包含真值的可靠程度的量,一般用百分数表示。 ![]() k——置信系数(或置信因子) ![]() 图2-14 置信概率与置信区间 ![]() 图2-15 正态分布的置信概率与置信区间 当分布和k值确定之后,则置信概率可定 , ![]() 正态分布,当k=3时, ,如图2-15所示,对于同一个测量结果来说,所取置信区间愈宽,则置信概率愈大,反之愈小。正态分布的随机误差,其绝对值小于3σ的概率为99.7%,因此定义∆=3σ为极限误差。 2.有限次测量时的置信问题(略) 二、不确定度与坏值的剔除准则 剔除是要有一定依据的。在不明原因的情况下,首先要判断可疑数据是否是粗大误差。其方法的基本思想是给定一置信概率,确定相应的置信区间,凡超出置信区间的误差就认为是粗大误差。 一般情况,正态分布比较多,也就是k=3时,即在以3倍标准差±3σ区间内,随机误差出现的概率为99.73%,而在这个区间外的概率非常小。 根据上述理由,在测量数据中,如果出现大于 3σ的误差,则可认为该次测量值是坏值,应予剔除,即 ,通常采用的3σ准则。 |

;
)内包含真值的可靠程度的量,一般用百分数表示。 



,如图2-15所示,对于同一个测量结果来说,所取置信区间愈宽,则置信概率愈大,反之愈小。正态分布的随机误差,其绝对值小于3σ的概率为99.7%,因此定义∆=3σ为极限误差。
,通常采用的3σ准则。 






