三相负载的星形联接和三角形联接
|
电气设备的种类繁多,大部分工业设备是需要三相电源才能工作的。并且对于单相电气设备来说也是按照一定的方式接在三相电源的一相上。
在三相供电系统中,三相负载有星形(Y)和三角形(△)两种联接方式。 1、负载的星形联接负载的星形联接如图3.2-1所示。三相负载的一端联在一起接至电源的中线,另一端分别接至电源的相线A、B、C。
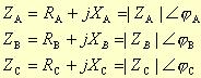
当忽略导线阻抗时,负载线电压和相电压即为电源线电压和相电压。各电压和电流的正方向如图中所示。 设三相负载阻抗分别为
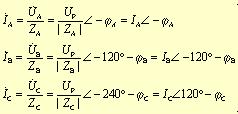
则三相电流为
由基尔霍夫电流定律可得中线电流
1.三相对称负载 所谓三相对称负载是指 ZA=ZB=ZC=Z=|Z| 这时三相电流有效值:
于三相负载对称时,中线中无电流,因此可以将中 线省去,这便构成了三相三线制的联接方式,如图3-6所 示。由于生产上的三相负载常常是三相对称的,如三相异 ![]() 步电动机等,因此,三相三线制的应用十分广泛。
2.三相负载不对称 三相负载一般情况下是不对称的,由于中线的作用,三相负载电压仍然对称,各相负载均可正常工作。但这时三相电流却是不对称的,因此,中线电流也不为零,中线不能省去,即需采用三相四线制供电。为了保证中线的作用,在中线上不允许安装熔断器或开关。 图3.2-4是三相负载不对称时中线断开的情况。
根据节点电压法可得负载中点N'至电源中点N之间的电压:
由基尔霍夫定律得各相负载电压
可见,当中线断开时,负载相电压是一组不对称的量,这就会引起有的相电压过高,超过负载额定电压,有的相电压过低,低于负载额定工作电压,使负载不能正常工作甚至损坏负载。因此,三相负载的相电压要求对称,而中线的作用就是使星形联接的不对称负载的相电压对称。 2、负载的三角形联接载三角形联接时,各相负载分别接在二根相线之间,如图3.2-6所示。三角形联接时,没有中线,所以只有三相三线制供电方式。若忽略线路阻抗,各相负载相电压等于电源线电压,即 Up=Ul负载三角形联接时,相电流和线电流是不一样的,各相负载的相电流为
根据基尔霍夫电流定律,线电流为
当三相负载对称时,则有
取
三相负载相电流为一组三组对称的量。相应的线电流为
在三相电路中,负载既可以联接成星形,也可以联接成三角形,应根据其额定电压和线路电压来确定,如低压供电系统线路电压一般为380/220V,对于额定电压为220V的单相负载,应采用三相四线制星形联接方式,负载接在相线与中线之间,并尽量使三相负载分配均匀。而对于相绕组额定电压为380V的三相电动机,则应采用三角形联接。 |










,则







