距离保护的基本原理
时间:2023-03-15来源:佚名
|
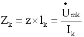
距离保护的基本原理: 距离保护是由阻抗继电器完成电压 当输电线路出现如图所示的k点短路时,加在阻抗继电器上的电压为母线的残压
由于Umk《 UN,Ik》IL,因此ZK《 ZL。故利用阻抗继电器的测量阻抗可以区分故障与正常运行,并且能够判断出故障的远近。 由式
|
|
距离保护的基本原理: 距离保护是由阻抗继电器完成电压 当输电线路出现如图所示的k点短路时,加在阻抗继电器上的电压为母线的残压
由于Umk《 UN,Ik》IL,因此ZK《 ZL。故利用阻抗继电器的测量阻抗可以区分故障与正常运行,并且能够判断出故障的远近。 由式
|








