稳压二极管稳压电路
|
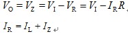
1、稳压二极管稳压电路的原理 硅稳压二极管稳压电路的电路图是利用稳压二极管的反向击穿特性稳压的,由于反向特性陡直,较大的电流变化,只会引起较小的电压变化。 ![]() 图 稳压管稳压电路 a.输入电压变化时如何稳压 根据电路图可知 输入电压VI的增加,必然引起VO的增加,即VZ增加,从而使IZ增加,IR增加,使VR增加,从而使输出电压VO减小。这一稳压过程可概括如下:VI↑→VO↑→VZ↑→IZ↑→IR↑→VR↑→VO↓ 这里VO减小应理解为,由于输入电压VI的增加,在稳压二极管的调节下,使VO的增加没有那么大而已。VO还是要增加一点的,这是一个有差调节系统。 b负载电流变化时如何稳压 负载电流IO的增加,必然引起IR的增加,即VR增加,从而使VZ=VO减小,IZ减小。IZ的减小必然使IR减小,VR减小,从而使输出电压=VO增加。这一稳压过程可概括如下: IO↑→IR↑→VR↑→VZ↓(VO↓)→IZ↓→IR↓→VR↓→VO↑ 2、稳压电阻的计算 稳压二极管稳压电路的稳压性能与稳压二极管击穿特性的动态电阻有关,与稳压电阻R的阻值大小有关。稳压二极管的动态电阻越小,稳压电阻R越大,稳压性能越好。 a.当输入电压最小,负载电流最大时,流过稳压二极管的电流最小。此时IZ不应小于IZmin,由此计算出来稳压电阻的最大值,实际选用的稳压电阻应小于最大值。即 b.当输入电压最大,负载电流最小时,流过稳压二极管的电流最大。此时IZ不应超过IZmax,由此可计算出来稳压电阻的最小值。即 稳压二极管在使用时,一定要串入限流电阻,不能使它的功耗超过规定值,否则会造成损坏! |












