变电所(站)的防雷保护
|
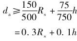
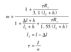
工厂变电所(站) 是工厂电力供应的枢纽,一旦遭受雷击,会造成全厂停产,影响很大。工厂还有许多其他建筑物和构筑物,有的较高,有的易燃,有的易爆,也都需要有可靠的防雷措施。防雷有两个主要方面,即对直击雷的防护和对由线 1.变电所 (站) 防直击雷的保护 (1) 保护方法 运行经验表明,按规程规定装设避雷针或避雷线对直击雷进行防护是非常可靠的。在一般情况下,对变电所 (站) 内的保护,目前采用避雷针;对靠近变电所(站)的进线段保护,目前多采用避雷线 (称为进线保护段)。 (2) 具体要求 ① 独立避雷针与被保护物设施之间应保持一定的距离。独立避雷针受到雷击时,在接闪器、引下线和接地体上都产生很高电位,如果避雷针与附近设施的距离不够,它们之间便会产生放电现象,这种情况称之为反击,为此,需要求出图 1中避雷针上离该设施最近的 图 1独立避雷针与附近 设施的最小距离 式中 Rs———独立避雷针的冲击接地电阻,Ω; L———从 A点到地面这一段避雷针的电感,μH。 取电流值 i的幅值为 150kA,波头形状为斜角波头,τ =2.6μs,于是 di/dt= 150kA /2.6μs= 57.7kA /μs,避雷针电感取 1.3μH /m,所以 L =1.3h(h是 A点的高度),于是 uA=150Rs 1.3h ×57.7 =150Rs 75h 由于电位的电感分量 Ldi/dt只存在于斜角波的 2.6μs之内,而电阻分量 iRs却存在于雷电波的整个持续时间,约几十微秒,所以二者对空气的绝缘作用有所不同,对前者可取空气的平均耐压强度 750kV /m,后者取 500kV /m,于是可以求出不发生避雷针而被保护物反击的空气距离为 在一般情况下,da 不应小于 5m。为了降低避雷针承受雷电流时所造成的感应过电压的影响,在条件许可时,此距离还可以适当增大。 ② 独立避雷针 (线) 的接地装置与其他接地体之间也应保持一定的距离,以免在土中向被保护物接地体闪络。根据运行经验,de≥0.3Rs,并且规定一般不得小于 3m。有时,由于 ③ 避雷线与配线装置导电部分间,以及与变电所(站)电气设备和构架接地部分的空气距离 da 计算如下。在一端接地、另一端绝缘的避雷线 da≥0.3Rs 0.1(h Δl) 式中 h———避雷线杆柱的高度,m; Δl———所考虑点到接地杆柱的距离,m。 da≥m[0.3Rs 0.1(h Δl)] 式中 m———分流系数; Rs———避雷线的冲击接地电阻,Ω; h———避雷线杆柱的高度,m; Δl———所考虑点到最近杆柱的距离,m; l2———所考虑点到另一端杆柱的距离,m; l———避雷线两端杆柱间的距离,m; I———耐雷水平,取 140kA; a———雷电流平均绕度,取 54kA /μs; τ———雷电流波头长度,为 2.6/μs。 ④ 避雷线的接地装置与变电所 (站)接地网间最近的地中距离 de 计算如下。在一端接地、另一端绝缘的避雷线de≥0.3R在两端接地的避雷线de≥0.3mRs避雷线和避雷针一样,da 一般不应小于 5m,de 不应小于 3m。 ⑤ 不宜在 35kV 及以下的屋内配电装置的房顶上和室外电气设备的架构上装避雷针。 ⑥ 严禁在避雷针架构上架设通信、广播及电力网络,也不得装设电视天线。 ⑦ 独立避雷针及其接地装置不应设在人员经常过往的处所,它与道路的出入口等的距离不宜小于 3m,否则应采取防护措施,如在接地装置上面敷设 50 ~ 80mm 厚的沥青层。 ⑧ 允许在 60kV 的配电装置构架上或屋顶上装设避雷针,但土壤电阻率大于 500Ω·m 时,宜用独立避雷针保护。对于 110kV 及以上配电装置,可将避雷针装在配电装置的构架上或屋顶上,但土壤电阻率大于 1000Ω·m 时,宜用独立避雷针保护。在构架上的避雷针,除应与接地网连接外,还应在附近加装集中接地装置,其接地部分与导电部分之间的空气距离不得小于绝缘子串的长度。由避雷针接地引下线入地点至变压器接地线的入地点,沿接地体的地中距离不应小于 15m。在变压器的门型构架上不应安装避雷针。 ⑩ 装有避雷针、线的构架上照明灯的电源线及独立避雷针上的照明灯电源线,都必须采用带有金属护套的电缆,或将导线穿入金属管中,这些电缆或金属管埋在地中的长度应在 10m 以上,再与接地装置或低压配电装置相连接。 (11)避雷针引下线在地面以上 2m 的部分用竹管或木槽板保护。 (12) 接地体与避雷针引下线的连接应采用焊接,在焊接部位涂沥青防腐。 (13 )所有防雷装置的金属件必须镀锌。 (1) 保护方法 当线路上出现雷电过电压、雷电波将沿导线侵入变电所 (站),从而导致设备的绝缘损坏,对雷电侵入波采取的防护措施,一般采用阀式避雷器来保护,在确定保护接线时,应充分考虑到变电所(站) 供电的重要性、变压器容量大小及绝缘情况和当地的雷电活动规律。 (2) 具体要求 新建线路进线保护段上的避雷线保护角一般不超过 20°,最大不应超过 30°。 ② 35 ~ 110kV 线路未沿全线架设避雷线的变电所 (站)进线段的标准保护接线如图 2所示。
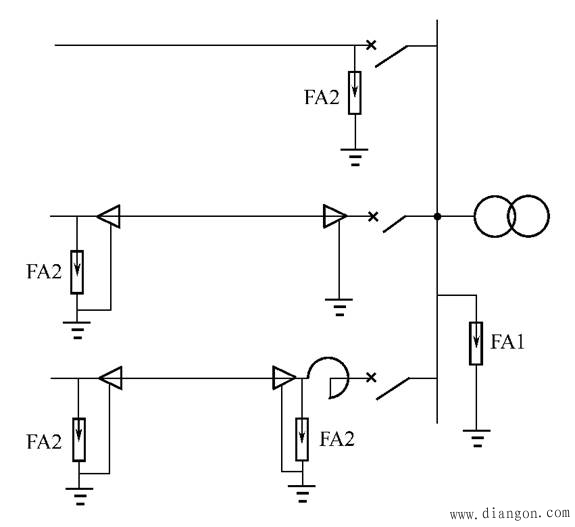
图2 35 ~ 110kV 线路未沿全线架设避雷线的 变电所 (站) 进线段的标准保护接线 在木杆或钢筋混凝土杆木横担线路进线保护段首端应装设一组管式避雷器 FA3,其工频接地电阻一般不大于 10Ω;铁塔和钢筋混凝土杆铁横担线路以及全线以避雷线保护的线路,其进线保护段首端不需装设管式避雷器 FA3。 35 ~ 110kV 变电所 (站) 进出线的隔离开关或断路器在雷雨季中可能经常断开,其线路侧带有电压时,必须在变电所(站)进口处装设一组管式避雷器 FA2,并应尽量靠近被保护设备。FA2外间隙的整定,既能在开关断开时可靠工作以保护高压电气设备,又能在开关闭合时不误动作。由阀式避雷器FA1起保护作用,以免变压器的开口电容与线路电感经放电后的 FA2形成振荡回路,危及变压器的绝缘。当 FA2整定有困难或缺乏适当参数的管式避雷器时,可用阀式避雷器或保护间隙代替。一般在经常闭路运行的场合,不要求在入口处装设FA2,对雷季中不经常开断的断路器用保护间隙经济上较合适。 ③ 对于容量较小的工厂变电所 (站),可以根据其重要性和雷暴日数采取简化的进线保护。如,对于容量为 3150 ~5000kVA 的变电所 (站),进线保护段的长度可减少到 500 ~600m,但进线段首端的管式避雷器或间隙的接地电阻应不超过 5Ω,其保护接线如图 3(a) 所示。 对于负荷不很重要、容量在 1000 ~ 3150kVA 的变电所(站),可采用图 3(b) 所示的保护方式;对于 1000kVA以下的分支变电所 (站),还可按图 3(c)所示进行简化。应当注意的是,不论怎样简化,阀式避雷器 FA1 距变压器和电压互感器的最大电气距离不宜大于 10m。 ④ 35kV 变电所 (站) 电缆进线防雷保护接线如图 4所示,在电缆和架空线的连接处装设阀式避雷器保护,其接地必须与金属护套相连接,如图 5-24(a) 所示;若为单芯电缆,一般将架空线与电缆连接处的金属护套接地,另一端的金属护套需经金属氧化物电缆护层保护器或间隙[图 4(b)中的 FV]接地,如图 4(b) 所示。当电缆长度不超过 50m 或经验算装一组避雷器即能满足要求时,应在电缆末端加装间隙保护。 ⑤ 变电所 (站) 的 3 ~ 10kV 配电装置,包括电力变压器,防止侵入雷电波的保护措施,应在每一路进(出) 线及每
图3 35kV 变电所 (站) 防雷保护简化接线 段母线上安装阀式避雷器,如图5所示。具体要求如下。具有电缆进 (出) 线段的架空线路,应在架空线路与电缆终端盒连接处装设阀式避雷器并做集中接地装置,避雷器的接地线还应和电缆头(电缆) 金属护套相连,电缆另一端的端盒与变电所 (站) 的接地网相连。这种连接法的目的是,一旦线路落雷时,避雷器放电,雷电流经集中接地体流入大地的同时,有一部分雷电流沿电缆金属护套流入变电所(站)内接地网,这样在电缆护套产生磁场,相当于增大电缆的电感使波阻抗增大,因此,经电缆芯线侵入变电所(站)雷电波很快衰减,使波幅和陡度都有所减小,有利于保护变压器的安全。 图 4 35kV 变电所 (站) 电缆进线防雷保护接线 母线上的阀式避雷器应尽量靠近主变压器,如离得较远,应考虑在变压器附近加装一组阀式避雷器,母线上阀式避雷器距主变压器的电气距离不宜大于表 1中的数值。 表 1 母线上阀式避雷器距主变压器的电气距离 单位:m
图 5 3 ~ 10kV 配电装置防雷保护接线 由于电缆进 (出)线端与架空线路相连接处波阻抗变化较大,从架空线路侵入电缆的进行波由于从高阻抗到低阻抗的变换,发生折射,有可能使电缆终端盒处的避雷器不动作,结果使较大幅值的雷电波直接侵入变电所(站),导致母线上避雷器流过的冲击电流过大,可能引起爆炸,因此,在木杆线路的情况下,应考虑在距电缆终端盒 200m 处,装设一组冲击放电电压为 200 ~ 300kV 的放电间隙或管式避雷器。对于在出线上装有限流电抗器的线路,又是与电缆段相连接,考虑到电抗器的波阻抗大,为防止雷电进行波在电抗器处发生反射而引起电压升高以致损坏设备,因此,在电抗器和电缆之间还应加装一组阀式避雷器。 |















