工艺系统原始误差对加工精度的影响

时间:2023-03-15来源:佚名

  1、加工原理误差
  加工原理误差是指采用了近似的成型运动或近似的刀刃轮廓进行加工而产生的误差,一般多为形状误差。如:用阿基米德蜗杆滚刀切削渐开线齿轮;在数控机床上用直线插补或圆弧插补方法加工复杂曲面;在普通公制丝杠的车床上加工英制螺纹等,都会由于加工原理误差造成零件的加工表面形状误差。
  在实际生产中,采用理论上完全准确的方法进行加工往往会使机床的结构复杂,刀具的制造困难,加工的效率降低。而采用近似加工方法,则常常可使工艺装备简单化,生产成本降低,故在满足产品精度要求的前提下,原理误差的存在是允许的。
  2、调整误差
  生产中常采用的刀具调整方法主要有:按标准样块或对刀块(导套)调整刀具及按试切一个工件后的实测尺寸调整刀具。
  按标准样块或对刀块(导套)调整刀具时,影响刀具调整精度的主要因素有标准样件本身的尺寸误差,刀块(导套)相对工件定位元件之间的位置尺寸误差,刀具调整时的目测误差,切削加工时刀具相对于工件加工表面的弹性退让和行程挡块的受力变形等。
  按试切一个工件后的实测尺寸调整刀具时,虽可避免上述一些因素的影响,但对于一批零件,可能导致由于进给机构的重复定位误差和按试切一个工件尺寸调整刀具的不准确性,引起加工后这一批零件尺寸分散和分布中心位置的偏离。
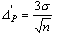
  为进一步提高对一批工件尺寸分布中心位置判断的准确性,可采用多试切几个工件(如n个)取平均值的方法。按多次重复测量原理,由于判断不准而引起的刀具调整误差,试切1个时,△p=3σ(σ为加工误差的标准差);试切n个时,可下降到工艺系统原始误差对加工精度的影响
  此外,机床微量进给误差(爬行)也是影响调整精度的重要因素。

  3、机床误差
  在工艺系统中,机床是为切削加工提供运动和动力的,机床原有误差对加工精度的影响最为显著,也最为复杂,其内容将在4.3节介绍。
  4、刀具误差
  采用定尺寸刀具(如钻头、铰刀、键槽铣刀、圆孔拉刀等)时,刀具的尺寸直接影响工件的尺寸精度。采用展成刀具(如齿轮滚刀、插齿刀等)加工时,刀具切削刃的几何形状及有关尺寸误差也会影响工件的加工精度。若采用成形刀具(如成形车刀、成形铣刀、成形砂轮等)进行加工,成形刀具在制造和刃磨后形状不准确,将直接反映到加工表面形状上。成形刀具的安装误差,也会影响加工表面的形状精度。如用成形车刀精车丝杠时,若车刀前刀面安装得偏高、偏低或倾斜时,会造成螺旋面的形状误差。

  5、量具误差与测量误差
  计量器具误差主要是由示值误差、示值稳定性、回程误差和灵敏度等四个方面综合起来的极限误差。计量器具误差会对被测零件测量精度产生直接的影响。
  除量具本身误差之外,测量者的视力、判断能力、测量经验、相对测量或间接测量中所用的对比标准、数学运算精确度、单次测量判断的不准确等因素都会引起测量误差。

    相关阅读

    数字式万用表的“峰值保持”功能

    所谓“峰值保持”功能,就是数字式万用表 可以将当前所测的峰值保持在显示屏上;换句话说就是“仪表的最后读数为连续测量中的最大值”。这种功能很有用。例如:有时需要在“危...
    2023-03-09

    PLC模拟量的原理以及编程方法

    模拟量在plc 系统中有着非常广泛的应用,特别是在过程控制系统中。模拟量是一种连续变化的量,因此,它的使用对象也是各种连续变化的量,比如温度,压力,湿度,流量,转速,电...
    2023-03-05
    PLC模拟量的原理以及编程方法

    伺服电机上电后有嗡嗡声并发烫是怎么回事?

    1、抱闸没有打开,电机堵转,发出嗡嗡声并发热; 2、抱闸没有打开,有两种情况: 1)制动保持,那电机不应该给电; 2)误动作,既然电机给电,抱闸理应打开!打开迟一些也可以!...
    2023-03-18

    丹弗斯变频器安装调试经验

    公司采购了一台丹弗斯FC-360系列的变频器 ,功率为11KW,拖动一台11KW普通电机,安装固定完毕,下面就开始接一次线路,一次线路的连接和其它品牌的变频器都是一样的,L1/L2/L3为电源...
    2023-03-17

    step7编程之地址概念详解

    完整的一条指令,应该包含指令符 操纵数(当然不包括那些单指令,比如NOT等)。其中的操纵数是指令要执行的目标,也就是指令要进行操纵的地址。 我们知道,在plc 中划有各种用途...
    2023-03-21

    热销商品

    加厚abs安全帽电工建筑工地程施工领导监理透气防砸头盔可印字V型

    这款加厚ABS安全帽专为电工、建筑工地施工人员、领导及监理设计,采用高强度ABS工程塑料,抗冲击、防砸性能优异,有效保障头部安全。帽体加厚设计,增强耐用性与防护等级...
    5.8

    水口钳高硬度模型剪钳电子钳工业级口水剪斜嘴钳偏口斜口专用钳子

    水口钳高硬度模型剪钳是一款工业级精密工具,专为电子、模型制作及精细作业设计。采用优质高碳钢材质,经热处理工艺打造,具备卓越的硬度和耐磨性,可轻松剪切金属引脚、...
    4.8

    170电子剪钳II 如意斜口钳 工业斜嘴钳水口钳 模型剪塑胶钳尖嘴钳

    170电子剪钳II如意斜口钳是一款专业级精密工具,集工业斜嘴钳、水口钳、模型剪、塑胶钳与尖嘴钳功能于一体,适用于电子维修、模型制作、手工艺及精密作业。其采用优...
    4.5

    安全帽国标工地加厚施工领导透气安全头盔建筑工程监理免费印字

    本款安全帽严格遵循国家GB 2811-2019标准,专为建筑工程、工地施工及监理人员设计。采用高强度ABS工程塑料,加厚壳体有效抗冲击,保障头部安全。帽体轻盈透气,内置可调...
    10

    包邮三角型简易螺丝刀三角十字螺丝刀螺丝批改锥起子五金工具5mm

    这款5mm三角型简易螺丝刀,专为拧紧或拆卸三角形螺丝设计,适用于电子维修、家电维护及精密仪器装配等场景。采用优质合金钢材质,刀头硬度高、耐磨损,确保长久使用不变...
    3.64

    网站栏目