计算机I/O接口扩展
时间:2023-03-15来源:佚名
|
1.地址译码器的扩展
扩展I/O接口必然要解决I/O接口的端口(寄存器)的编址和选址问题。每个通用接口部件都包含一组寄存器,一般称这些寄存器为I/O端口。
74LS138的管脚图如图1所示。
图1 74LS138管脚图
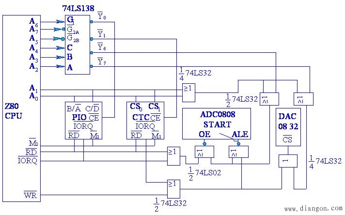
例 此例采用8位的Z80CPU的微机控制系统,按控制要求扩展一个并行接口芯片PIO、一个计数器/定时器(CTC)、一个8位的A/D转换器(ADC0808)和一个8位的D/A转换器(DAC0832)。若指定它们的地址分别为40H~43H、44H~47H、58H和5CH,那么可以设计出如图2所示的地址译码电路。
图2 I/O接口地址译码扩展
2.负载能力的扩展
扩展的I/O接口和存储器的数据线都同时要挂到CPU的数据总线上,各芯片的地址也都要挂到CPU的地址线上,控制线也一样要挂到CPU的控制总线上。 表 TTL和MOS器件的输入/输出电流
由表可见,MOS器件的输入电流小,驱动能力也差。
从图3中可以看到,8286具有两组对称的数据引线,A7~A0为输入数据线,B7~B0为输出数据线。当然,由于在收发器中数据是双向传输的,因此实际上输入线和输出线也可以交换。用T表示的引脚信号就是用来控制数据传输方向的。当T=1时,就使A7~A0为输入线;当T=0时,则使B7~B0为输入线。在系统中,T端和CPU的DT/R端相连,DT/R为数据收发信号。当CPU进行数据输出时,DT/为高电平,于是数据流由A7~A0进入,从B7~B0送出;当CPU进行数据输入时,DT/R为低电平,于是数据流由B7~B0进入,而从A7~A0送出。
图3 8286收发器和8088的连接 |







