变压器阻抗变换电路

时间:2023-03-15来源:佚名

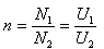
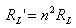
变压器阻抗变换电路如图所示,当变压器是理想变压器时,其输出阻抗与输入阻抗的关系为:

变压器阻抗变换电路,其中变压器阻抗变换电路

变压器阻抗变换电路的阻抗变换过程如图所示。

变压器阻抗变换电路
图 变压器阻抗变换电路

相关阅读

悉数安全用电必备十二项一般常识

(1) 不要乱拉电线和乱接电器设备,更不要利用“一线一地”方式接线用电。 (2) 不要在电线附近放风筝、打鸟、装设天线,更不能在电杆和拉线上拴牲口,不许在电杆和拉线附近...
2023-03-21

MLCC代替LED电源中电解电容的可行性分析

日本对LED灯具的寿命和舒适性非常关注。曾有一位日本市政厅官员因LED灯具频闪而晕倒。为解决这一问题,TDK专家进行了LED照明灯具中MLCC代替电解电容的频闪测试。测试结果显示,直接...
2023-08-09
MLCC代替LED电源中电解电容的可行性分析

电工高手支招 漏电保护器的接线方法

学工控技术,拿10万年薪 马上注册,免费学习 超过100课时视频教程,免费下载海量学习资料 家居装修中,电路问题是比较重要的,尤其是现在家居中使用的电器越来越多,所以漏电保...
2023-06-27

自激振荡电路工作原理

自激震荡电路图 自激启动电路 310伏经过启动电阻R1R2。到达开关管的栅极,然后为这个开关管的栅极进行充电,开关管Q1开始导通。注意,这里的导通是微微导通,而不是完全导通。Q...
2023-04-03
自激振荡电路工作原理

这两个鼻子谁压得好?吵的不可开交!

就在最近这段时间,小编在浏览网页时偶然看到了一篇的帖子。帖子中所描述的场景着实令人感到新奇和意外。 原来,是有一家工厂在招聘电工,有两位电工前来应聘。面试的过程中,领导...
2024-08-28
这两个鼻子谁压得好?吵的不可开交!

热销商品

加厚abs安全帽电工建筑工地程施工领导监理透气防砸头盔可印字V型

这款加厚ABS安全帽专为电工、建筑工地施工人员、领导及监理设计,采用高强度ABS工程塑料,抗冲击、防砸性能优异,有效保障头部安全。帽体加厚设计,增强耐用性与防护等级...
5.8

欧普led筒灯3w孔灯超薄桶灯吊顶天花灯过道嵌入式洞灯客厅5w

欧普LED筒灯是一款高品质嵌入式照明产品,适用于客厅、过道、吊顶等多种场景。采用优质LED光源,提供3W和5W两种功率选择,光线柔和均匀,显色指数高,有效还原真实色彩。超...
7.45

水口钳高硬度模型剪钳电子钳工业级口水剪斜嘴钳偏口斜口专用钳子

水口钳高硬度模型剪钳是一款工业级精密工具,专为电子、模型制作及精细作业设计。采用优质高碳钢材质,经热处理工艺打造,具备卓越的硬度和耐磨性,可轻松剪切金属引脚、...
4.8

170电子剪钳II 如意斜口钳 工业斜嘴钳水口钳 模型剪塑胶钳尖嘴钳

170电子剪钳II如意斜口钳是一款专业级精密工具,集工业斜嘴钳、水口钳、模型剪、塑胶钳与尖嘴钳功能于一体,适用于电子维修、模型制作、手工艺及精密作业。其采用优...
4.5

安全帽国标工地加厚施工领导透气安全头盔建筑工程监理免费印字

本款安全帽严格遵循国家GB 2811-2019标准,专为建筑工程、工地施工及监理人员设计。采用高强度ABS工程塑料,加厚壳体有效抗冲击,保障头部安全。帽体轻盈透气,内置可调...
10

网站栏目