三极管基本放大电路
|
共基极放大电路
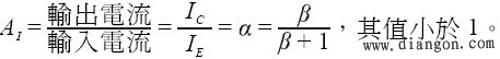
共基极的放大电路,如图1所示,
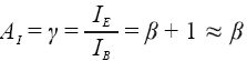
图1 共基极放大电路 主要应用在高频放大或振荡电路,其低输入阻抗及高输出阻抗的特性也可作阻抗匹配用。电路特性归纳如下: 输入端(EB之间)为正向偏压,因此输入阻抗低(约20~200 ) 电流增益: 功率增益: 由于AI小于1,所以功率增益不大。 共发射极放大电路 共发射极的放大电路,如图2所示。
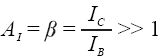
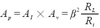
图2 共发射极放大电路 因具有电流与电压放大增益,所以广泛应用在放大器电路。其电路特性归纳如下: 输入与输出阻抗中等(Ri约1k~5k ;RO约50k)。 电流增益: 电压增益: 负号表示输出信号与输入信号反相(相位差180°)。 功率增益: 功率增益在三种接法中最大。 共集电极放大电路 共集电极放大电路,如图3所示,
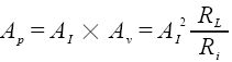
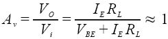
图3 共集电极放大电路 高输入阻抗及低输出阻抗的特性可作阻抗匹配用,以改善电压信号的负载效应。其电路特性归纳如下: 输入阻抗高(Ri约20 k );输出阻抗低(RO约20 )。 电流增益: 电压增益: 电压增益等于1,表示射极的输出信号追随着基极的输入信号,所以共集极放大器又称为射极随耦器(emitter follower)。功率增益Ap = AI × Av≈β ,功率增益低。 三极管三种放大电路特性比较
共发射极放大电路偏压 图4 自给偏压方式 又称为基极偏压电路,最简单的偏压电路,稳定性差,容易受β值的变动影响,温度每升高10℃时,逆向饱和电流ICO增加一倍。温度每升高1℃时,基射电压VBE减少2.5mV ,β随温度升高而增加(影响最大) 。
图5 带电流反馈的基极偏压方式 三极管发射极加上电流反馈电阻,特性有所改善,但还是不太稳定。
图6 分压式偏置电路 此为标准低频信号放大原理图电路,其R1(下拉电阻)及R2为三极管偏压电阻,为三极管基极提供必要偏置电流,R3为负载电阻,R4为电流反馈电阻(改善特性),C3为旁路电容,C1及C3为三极管输入及输出隔直流电容(直流电受到阻碍),信号放大值则为R3/R4倍数.设计上注意: 三极管Ft值需高于信号放大值与工作频率相乘积,选择适当三极管集电极偏压、以避免大信号上下顶部失真,注意C1及C3的容量大小对低频信号(尤其是脉波)有影响.在R4并联一个C2,放大倍数就会变大。而在交流时C2将R4短路。 为什么要接入R1及R4? 因为三极管是一种对温度非常敏感的半导体器件,温度变化将导致集电极电流的明显改变。温度升高,集电极电流增大;温度降低,集电极电流减小。这将造成静态工作点的移动,有可能使输出信号产生失真。在实际电路中,要求流过R1和R2串联支路的电流远大于基极电流IB。这样温度变化引起的IB的变化,对基极电位就没有多大的影响了,就可以用R1和R2的分压来确定基极电位。采用分压偏置以后,基极电位提高,为了保证发射结压降正常,就要串入发射极电阻R4。 R4的串入有稳定工作点的作用。如果集电极电流随温度升高而增大,则发射极对地电位升高,因基极电位基本不变,故UBE减小。从输入特性曲线可知,UBE的减小基极电流将随之下降,根据三极管的电流控制原理,集电极电流将下降,反之亦然。这就在一定程度上稳定了工作点。分压偏置基本放大电路具有稳定工作点的作用,这个电路具有工作点稳定的特性。当流过R1和R2串联支路的电流远大于基极电流IB(一般大于十倍以上)时,可以用下列方法计算工作点的参数值 |
















