线路损耗的计算
|
(1)供电线路损耗 当电流通过三相供电线路时,在线路导线电阻上的功率损耗为: ΔP = 3I2R×10-3 ΔP:线路电阻功率损耗,kW; I:线路的相电流,A; R:线路每相导线的电阻,Ω。 近似认为一天24小时中每小时内电流不变,则全日线路损耗电量计算式为: ΔW=3(I12 I22 … I242)R×10-3 ΔW:全天线路损耗电量,kW·h。 (2)电力电缆线路损耗 主要包括导体电阻损耗、介质损耗、铅包损耗、钢铠损耗。 介质损耗约为导体电阻损耗的1%~3%,铅包损耗约为1.5%,钢铠损耗在三芯电缆中,如导线截面不大于185mm2,可忽略不计。 ΔW=3 I2msr0 l×24×10-3 r0:电力电缆线路每相导体单位长度的电阻值,Ω/km; l:电力电缆线路长度,km; Ims:线路代表日均方根电流,A。 (3)电力电容器损耗 主要为介质损耗:
Qc:电力电容器的容量,kvar; δ:绝缘介质损失角,国产电力电容器tgδ可取0.004。 常用线损计算方法 损失因数法、均方根电流法、最大负荷损耗小时法。 1)损失因数法(最大电流法) 利用日负荷曲线的最大值与均方根值之间的等效关系进行线损的计算。 (1)损失因数F 为线损计算时段内的平均功率损失ΔPav与最大负荷功率损失Δ Pmax之比。
1)对一般电网:F=0.3f 0.7f 2 2)对供电输电网: F=0.083f 1. 036 f 2 – 0.12f 3 f:负荷率;Pav:平均负荷; Pmax:最大负荷。
(2)T时段的线损值 通过损失因数,可采用最大负荷时的功率损失计算时段T内的线损耗值。计算式为:ΔW=ΔPmaxFT ΔPmax:最大负荷功率损失;F :损失因数; 例:如图示为10kv配电线路,若b、c点负荷的功率因数为0.8,负荷率f为0.5,求年电能损失。
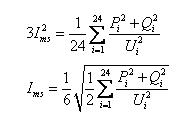
解:ab段线路的最大电流为: Iabmax=(200 100) ×0.8=240A bc段线路的最大电流Ibcmax=100A, 则:ΔPmax=(3Iabmax2R1 3Ibcmax2R2) ×10-3 =435.6kw 若F=0.3f 0.7f2,则:F=0.325,ΔW= PmaxFT=1240153.2kw·h 2)均方根电流法 指线路中流过均方根电流所消耗的电能,相当于实际负荷在同一时期内消耗的电能。 当电阻为R的元件日负荷电流实测值为I1, I2,I3,…., I24时,则其日线损电量为: ΔW=3I2msR×24×10-3 ΔW:全天线路损耗电量,kW·h; Ims:线路代表日均方根电流,A.
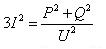
如果测定的负荷数据是有功功率和无功功率,则因为:
所以:
Pi:第i小时的有功功率,kw; Qi:第i小时的无功功率,kvar; Ui:第i小时的电压值,kV。 3)最大负荷损耗小时法 指在t时段内,若客户始终保持最大负荷Pmax不变,则在电网电阻元件中引起的电能损失等于一年中实际负荷在该电阻中引起的电能损失。即: ΔW=ΔPmax t =3I2maxR t ×10-3 ΔPmax:最大负荷时元件电阻中的功率损失,kw; t:最大负荷损失时间,h; Imax:最大负荷电流,A。 该方法准确度不高,适用于电网的规划设计,不允许用于计算实际已运行的电网线损。 |





