配电网的短路电流计算
|
在供配电系统的设计和运行中,不仅要考虑系统的正常运行状态,还要考虑系统的不正常运行状态和故障情况,在电力系统可能发生的各种故障中,对系统危害最大,而且发生概率最高的是短路故障,为保证电力系统的可靠性,需要分析配电网的短路问题。 短路:供电系统中一相或多相载流导体接地或相互接触并产生超出规定值的大电流。短路类型及其代表符号见图1。
产生的原因:绝缘损坏、误操作70%、雷击或过电压击穿。 短路导致的后果: 1)短路电流的数值一般是正常工作电流的10多倍; 2)产生电动力、和设备温升,造成极大的破坏; 3)使供电电源母线的电压降低,影响非故障的电气设备的运行。 一、短路过程的简单分析 短路过程等效电路见图2。
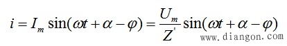
由于三相电路对称,可用单相等值电路图进行分析。 k点发生三相短路。电路被分为两个独立回路,短路点左侧是一个与电源相连的短路回路,短路点右侧是一个无电源的短路回路。无源回路中的电流由原来的数值衰减到零。有源回路短路后,由于回路阻抗减少,电流要增大,但由于电路内存在电感,电流不能发生突变,从而产生一个非周期分量电流,非周期分量电流也不断衰减,电流最终达到稳态短路电流。 短路前整个回路流过的电流i为:
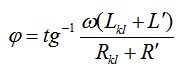
式中, 短路后分成两个独立回路,左端回路电流(瞬时值):
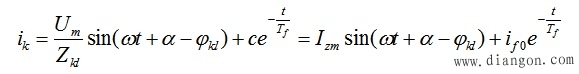
解这个微分方程:
式中, 三相短路电流由短路电流周期分量和非周期分量组成。三相短路电流的周期分量,由电源电压和短路回路阻抗决定,在无限大容量系统条件下,其幅值不变,又称为稳态分量。三相短路电流的非周期分量,按指数规律衰减,最终为零,又称自由分量。 最严重短路电流的条件为: 1.短路前电路空载或cosф=1; 2.短路瞬间电压过零,即t=0时α=0°或180°; 3.短路回路纯电感,即фk=90° 短路冲击电流是短路全电流的最大瞬时值,短路全电流最大瞬时值出现在短路后半个周期,即t=0.01秒时。 二、短路冲击电流 当经过半个周期时(约0.01s)后,出现冲击电流的最大值 :
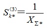
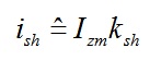
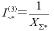
式中, 高压供电系统: 低压供电系统: 冲击电流的有效值: 高压 低压 冲击电流的最大值用于校验设备的动稳定性。冲击电流的有效值用于校验设备(断路器)的开断能力(开断电流)。 三、求短路电流周期分量的有效值 电源看成无穷大电源,即维持电压不变,再计算高压与低压的有效值。 四、用标么值计算 设三相短路电流对基准容量
式中
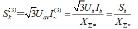
因此,三相短路容量
其标么值为:
短路电流的大小与系统的运行方式有很大的关系。 短路电流的具体计算步骤如下: 1.取功率基准值 2.计算各元件的电抗标么值,并绘制出等值电路; 3.网络化简,求出从电源至短路点之间的总电抗标么值 4.计算出短路电流周期分量有效值(也就是稳态短路电流),再还原成有名值; 5.计算出短路冲击电流和短路最大有效值电流; 6.按要求计算出其他量。 五、系统的运行方式 短路电流的大小与系统的运行方式有很大的关系。 最大运行方式和最小运行方式: 1.最大运行方式下发电机组投运多,双回输电线路及并联变压器均全部运行。此时,整个系统的总的短路阻抗最小,短路电流最大; 2.最小运行方式下由于电源中一部分发电机、变压器及输电线路解列,一些并联变压器为保证处于最佳运行状态也采用分列运行,这样使总的短路阻抗变大,短路电流也相应减小。 |




短路前电流幅值,
相电压的初相角,
每相阻抗的阻抗角 

周期分量的幅值;
非周期分量的初始值,
回路的时间常数;
短路电流的周期分量;
短路电流的非周期分量;
与
的夹角。 。
冲击系数,
周期分量的有效值 


和基准电压
取标么值时,便有: 
为由电源至短路点之间的短路电抗。选
和
,有:
或 
为: 

,并取各级电压基准值等于该级的平均额定电压,即
;
; 





