反转电能表无功电能计算
时间:2023-03-15来源:佚名
|
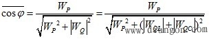
正常运行的无功电能表一般接线正确、电压正序、电流正向,而只是负载性质因无功补偿的程度不同而不同。如若电力电容器投入或切除不及时,负载呈现为容性。用户就会向系统反向输送无功电能,而此时系统的无功功率一般是过剩,这样不但不会减少系统的无功负担,反而会占用系统输电线路,导致一系列的不良后果。如线损增加、电动机上产生过压,对电动机和电容器的绝缘非常不利。由于感性无功和容性无功的方向是相反的,因此供电部门为了限制客户反向倒送无功,就将正向和反向输送的无功电能绝对值相加,作为用户一个收费周期内考核功率因数的依据。计算公式如下:
式中 WQL——感性无功电能;WQC——容性无功电能。
例: 某客户装设有无功补偿装置。12月份,消耗有功电能共计600000kW•h,正向无功电能300000 kvar•h,反向无功电能为100000 kvar•h,问该月客户平均功率因数为多少? 解: 12月客户消耗无功电量为: 月平均功率因数 |








