计算机并行D/A转换器的工作原理
时间:2023-03-15来源:佚名
|
D/A转换器是把输入的数字量转换为与输入量成比例的模拟信号的器件。为了了解它的工作原理,先分析一下图所示的R-2R梯形电阻解码网络的原理电路。
图R-2R梯形电阻解码网络原理图
在图中,整个电路由若干个相同的支电路组成,每个支电路有两个电阻和一个开关,开关S-i是按二进“位”进行控制的。当该位为“1”时,开关将加权电阻与IOUT1输出端接通;当该位为“0”时,开关与IOUT2接通。
由于IOUT2接地,IOUT1为虚地,所以有
流过每个加权电阻的电流依次为
由于Iout1端输出的总电流是置“1”的各位加权电流的总和,IOUT2端输出的总电流是置“0”的各位加权电流的总和,因此当D/A转换器输入为全“1”时,IOUT1和IOUT2分别为
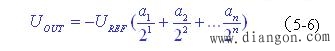
当运算放大器的反馈电阻Rfb等于反相端输入电阻∑R时,其输出模拟电压为
对于任意二进制码,其输出模拟电压为
式中,ai=1或ai=0。由上式便可得到相应的模拟量输出。 |






