高重频飞秒激光器的优势
|
现代新型的固体飞秒激光器以数kHz的重复频率工作,提供了脉冲能量和稳定性的组合,使它们成为科学研究的激光。 在飞秒和阿秒激光科学领域,有人说激光脉冲能量越高越好。尽管如此,许多激光研究人员都熟悉这种令人抓狂的情况,当能量表处于红色时,激光电源慢慢开始冒烟,但信号仍然很弱,测量甚至需要数年时间。当然,如果有机会,追求的脉冲能量是一种选择,但考虑到激光近年来的发展状况,这是最明智的选择吗? 对于某些应用,答案总是肯定的。当研究对象是真空极化,进行核聚变,或产生二阶辐射的效率只有万亿分之几时,的方法是购买你的预算能负担得起的、最坏的激光器。 然而,在许多研究领域,这种粗暴的方法弊大于利。通常,将能量分散到多个脉冲中,获得相同(或更高)的平均功率,但脉冲重复率更高。本文回顾了高平均功率、中等脉冲能量激光器可以主导大型强力高能系统的情况。 选择高重频激光的理由1:输出稳定性高让我们先来说明一个很少被宣传的事实:过去十年或二十年出现的固态飞秒激光器远远优于上个世纪末期开发的代啁啾脉冲放大(CPA)系统。其功率范围在几十瓦,脉冲能量约1 mJ,可以以单脉冲到几兆赫的重复频率工作。典型的Yb:KGW CPA激光系统由于直接由半导体激光阵列泵浦,加上巧妙的光学设计,具有的稳定性。紧凑的体积降低了对机械振动的敏感性,水冷的外壳使它们在环境温度漂移时更加坚固。 这种泵浦能量不是来自单一的半导体激光器,而是来自几十个半导体激光器,因此每个半导体激光器的稳定性所起的作用相对较小。最重要的是,当激光重复频率增加,使脉冲之间的周期小于工作物质中激光跃迁的自然寿命时(Yb:KGW为600μs,对应1.6 kHz重复频率),激光介质本身就开始充当低通滤波器,消除了泵浦产生的任何不稳定性。因此,高重复频率激光系统具有非常高的功率和能量稳定性(见图1)。
图1. 200 kHz 20 W飞秒激光器的功率和能量稳定性,平均功率在12小时内的归一化均方根偏差(NRMSD)为0.15%,这使得功率轨迹在全尺度下与水平线几乎无法区分(a, b)。具有代表性的10分钟周期的脉冲分辨能量稳定性甚至更好,NRMSD为0.07% (c)。
选择高重频激光的理由2:多数实验需要多脉冲通常,采集实验数据需要平均。不管这些信号光子是大而不频繁的地撞击探测器,还是小的类似滴状物一个接一个地撞击探测器,这都无关紧要。如果,在实验的持续时间内(比如1秒),收集到相同数量的光子,最终的结果将是相同的(所有其他因素相同的情况下)。 当然,事情很少这么简单。信号可能有一个能量阈值,除非超过它,否则测量将受到影响。但高重复率飞秒激光的能量在1 mJ或更多的范围内。这也是20年前Ti:sapphire CPA系统的典型能量,当紧密聚焦时,这种能量足以在空气中产生等离子体(见图2)。因此,一个现代的Yb:KGW CPA激光器实际上是一个由10-50个以前的Ti:sapphire激光器组成的电池——电池中的每个激光器都比旧系统稳定10倍。
图2。100 kHz Yb:KGW激光400 μJ脉冲诱导的空气击穿(黄色箭头所示的小亮点);屏幕背景上的大白点是空气中产生的超连续白光。 选择高重频激光的理由三:多数实验无需使用所有可用的脉冲能量选择高重复率激光器的原因是,在许多情况下,实验条件不允许使用所有可用的脉冲能量。这一节回顾了使用飞秒激光的不同研究领域中的此类案例。 激光的发明催生了非线性光学领域,在光的电场开始与电子和原子核之间的库仑吸引相竞争的条件下,探索光和物质发生复杂相互作用。在这些相互作用中,转换后的光获得了新的频率和奇怪而奇妙的空间特性(2),(3)。非线性光学效应发生在严格定义的光强度范围内。在凝聚态实验中,与这些强度相对应的脉冲能量在微焦耳范围内。 一个很好的例子是超连续白光(WLC)的产生——将飞秒激光脉冲聚焦到透明介质中产生宽频带时空相干辐射(见图3)。在块状凝聚态介质中,WLC产生的阈值通常为1-50 μJ,这取决于光的波长和介质的性质。 当超过这个阈值大约3倍时,就不再观察到整齐的效应:要么激光束分解成多个细丝,要么介质发生击穿(光学损伤)。这意味着几乎所有超过阈值的激光脉冲能量都是不可用的。因此,为了在单位时间内产生尽可能多的WLC光子,我们希望使用到达介质的能量较低的脉冲。
图3。由1 kHz飞秒脉冲序列(a)和100 kHz相同脉冲序列(b)在蓝宝石中产生白光连续体(WLC)。使用相同的相机设置获取图像,并展示两束光强度的视觉图像。如果增加1 kHz的脉冲能量以达到相同的WLC光束平均功率,蓝宝石晶体早在还未观察到(b)中的同等亮度白光很久之前就已被损坏。 此外,WLC的这种能量依赖性对飞秒瞬态吸收光谱有重要的推论。在生物物理、物理化学、光伏、半导体物理等领域,飞秒泵浦-探测实验中,研究人员经常选择WLC作为探测光源。这种实验使用两个激光脉冲,一个激发所研究的样品,另一个在个脉冲之后以可控延迟到达,测量由于激发导致的样品透过率的变化。 WLC作为探测光很有吸引力,它覆盖了多倍频程光谱范围,允许探测所研究材料中的不同跃迁。同时,它也非常稳定,易于生成。由于泵浦-探测实验测量的是样品后的探测光强度之比(受激发与未受激发的透过率),探测脉冲中的光子越多,灵敏度越高(不可能在小于1000个光子的情况下检测到1/1000的透过率变化)。由于每秒记录的WLC光子数是重复频率的线性函数,在高重复频率下实验的信噪比水平显著提高(见图4)。
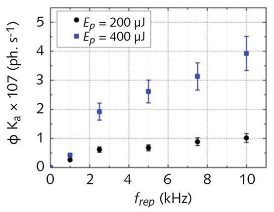
图4. 1kHz与64kHz激光重复频率下瞬态吸收信号质量的比较;调整激发脉冲的强度以产生相同幅度的信号。 ![]() 产生二阶辐射对每个入射泵浦脉冲的能量施加了类似的约束。最近,Baguckis等人将几kHz Yb:KGW系统应用于铜靶上生成x射线(4)。结果表明,当激光脉冲能量在200 μJ范围内时,生成的x射线亮度与激光重复率呈线性关系(见图5)。 一个鞋盒大小的20 W激光产生的x射线亮度可与的Ti:sapphire CPA系统产生的x射线相媲美,提供多毫焦脉冲。展望未来,将200 µJ飞秒激光缩放到更高的重复频率是一项比将10 mJ激光缩放到更高脉冲能量要简单得多的任务。因此,未来的“桌面”x光可能会有更高的重复频率。
图5. 利用几kHz激光在铜靶上产生的x射线,展示 Ka 线 X 射线能量密度与重复频率的比例关系。 飞秒时间分辨光谱用于分析光合色素-蛋白复合物,(5)光受体蛋白(6)太阳能电池及其组件,(7),(8)发光器件,(9)和其他光敏分子化合物(10)。大多数这些系统的自然条件是连续的照明,光子一个接一个到达,而不是采用高能飞秒脉冲的轰击使得大量到达。理想情况下,人们应该用他们需要的光来照明系统。然而,如果需要飞秒时间分辨率(通常情况下需要),研究人员可能会被迫使用下一种方法:低能量脉冲。在这里,高重复率有助于积累足够的信号,从而得到有意义的科学结论。 也许已知的最古老的例子——光合作用光捕获复合物的研究,强度依赖效应是具有误导性的。在20世纪70年代末和80年代初,几个研究小组正在使用当时的激光器研究紫色细菌色素体的激发态动力学。令人困惑的是,它们都报告了不同的激发态寿命。实际结果是他们看到的是激发的非线性湮灭。(11) 这是两个激发态在一个叶绿素色素上相遇的过程(见图6a),产生更高的激发态。由于这种状态几乎是瞬间衰减的(约100fs),这种碰撞的最终结果是激励数减少了一个。在一个大型的光收集天线中,激发越多,它们相遇的几率就越高,因此,初始信号的衰减就越快(见图6b)(12)。尽管这种效应令人着迷,但它只会在自然产生的非常高的激发光强度下表现出来。因此,为了对自然发生的光收集做出有意义的结论,需要在极微弱激发脉冲能量下进行实验。更高的重复频率和相应较弱的脉冲使这成为可能。
图6. 分子化合物中激发态的湮灭(a)。当两个激发态在一个分子上相遇时,它被提升到更高的激发态。因为它是短暂的,很快就只剩下一个激发。细菌捕光复合物(Fenna-Matthews-Olson蛋白)在不同激发脉冲能量下的瞬态吸收信号衰减(b)。 有时,限制激发能量的不是激光、样品或目标,而是探测方案。在许多探测方案中,单个粒子(光子、电子、离子)被探测到。例如,和泛使用的x射线光谱仪利用单个x射线光子检测半导体器件中产生的电荷。如果来自同一个激光脉冲的两个光子同时击中探测器,光谱仪将会错误地确定高出两倍的光子能量(见图7)。同样,如果光与物质相互作用的产物是光电子(如在x射线光电子能谱中),则希望每个激光脉冲只有一个电子。如果多个电子进入分析器,它们的库仑斥力会扭曲测量的能量值。
图7. 400 μJ脉冲聚焦到铜靶产生的x射线谱。当计数率接近激光重复频率,重合伪影会在检测到的光子的两倍和三倍能量处产生不存在的峰值。
在这种单粒子探测实验中,激光重复频率越高,信号计数积累得越快。一个典型的光谱或衰减曲线需要大约10000次计数来对抗离散的噪声。当以1kHz重复频率计数时,需要10秒来测量,而在100kHz时,每秒测量10条曲线。10秒听起来并不多,但当你将平均持续时间改为10小时时,用6分钟获得相同结果的选择会突然变得非常有吸引力。 总结 综上所述,现代高重频几kHz重复频率的固态飞秒激光器提供了一种的脉冲能量组合,高到足以产生几乎所有的非线性光学现象,同时,它们比运行在1kHz或以下的传统CPA系统的速度快10~100倍。这使得二阶辐射可获得的亮度,并有助于绕过样品或检测系统施加的固有注入通量的限制。再加上这些激光器比高能激光器更稳定,这使得它们成为光谱学、显微镜学、非线性光学和激光物理学等现代研究领域的工具。 (本文原创来源于,应用工程师dr. Jonas Berzinš,研发工程师dr. Lukas Kontenis和dr. Mikas Vengris,原文发表于《Laser Focus World》): 参考文献: (1) 详见https://lightcon.com/product/pharos-femtosecond-lasers/ (2) A. Dubietis et al., Phys. Rev. Lett., 92, 25 (2004). (3) D. Faccio et al., Phys. Rev. Lett., 96, 19 (2006). (4) A. Baguckis et al., Appl. Phys. B: Lasers Opt., 123, 12 (2017). (5) R. Berera, R. van Grondelle, and J. T. M. Kennis, Photosyn. Res., 101, 2–3, 105–118 (2009). (6) J. T. M. Kennis and M. L. Groot, Curr. Opin. Struct. Biol., 17, 5, 623–630 (2007). (7) T. M. Clarke and J. R. Durrant, Chem. Rev., 110, 11, 6736–6767 (2010). (8) O. E. Semonin et al., Science, 334, 6062, 1530–1533 (2011). (9) F. Liu et al., ACS Nano, 11, 10, 10373–10383 (2017). (10) N. P. Ernsting and T. Arthenengeland, J. Phys. Chem., 95, 14, 5502–5509 (1991). (11) L. Valkunas, V. Liuolia, and A. Freiberg, Photosyn. Res., 27, 2, 83–95 (1991). (12) V. Gulbinas et al., J. Phys. Chem., 100, 45, 17950–17956 (1996).
高重频飞秒激光器产品介绍
PHAROS工业*科研级模块化设计飞秒激光器
特点:
PHAROS系列飞秒激光器,结合了多毫焦脉冲能量和高平均功率输出。PHAROS为科学和工业应用优化了机械和光学设计。紧凑,热稳定,密封的设计使PHAROS能方便的集成到各种光学装置和加工工作站。二极管泵浦Yb介质大大降低了维护成本,并为激光提供相当长的寿命,而稳健的光机械设计,使PHAROS能稳定的运行在不同的环境。PHAROS的灵活的可调谐性允许系统覆盖需要多种不同参数激光的应用。可调参数包括脉冲持续时间(100 fs-20 ps),重复频率(单脉冲-1 MHz),脉冲能量(高达3 mJ),和平均功率(高达20 W)。使用内置的脉冲选择器,可按需调节脉冲的模式。PHAROS的通用性可以通过多种额外的选项进行扩展,包括载波包络相位(CEP)稳定、重复频率锁定到外部源以及自动谐波模块等。 CARBIDE工业*科研级一体式设计飞秒激光器
特点:
CARBIDE是一种集高平均功率和优良的功率稳定性于一体的飞秒激光器。CARBIDE在保证光束质量和稳定性的情况下,具有市场的输出参数。紧凑而坚固的光机械设计使得CARBIDE可以被应用到显示,汽车,LED,医疗和其他行业等工业领域以及各种科学研究中。CARBIDE的可靠性已被工业环境中数百个24/7运行的系统所证明。CARBIDE激光器灵活的可调谐性使我们的客户能够发现的制造工艺。可调参数包括脉冲持续时间(190 fs-20 ps),重复频率(单发-2 MHz),脉冲能量(高达2 mJ),和平均功率(高达80 W)。使用内置的脉冲选择器,可提供脉冲按需输出模式。CARBIDE激光器可以配备工业级模块,包括但不限于大功率谐波发生器。 FLINT系列飞秒激光振荡器
特点:
FLINT是一系列基于Yb介质的飞秒激光振荡器,提供的输出参数。基于经过验证的工业级设计,这是PHAROS和CARBIDE系列激光器的核心,FLINT振荡器确保了长期的性能和稳定性。的FLINT-FL2振荡器提供高达20 W的输出功率,高达0.6 μJ的脉冲能量,在重复频率为11、20、40或76 MHz的情况下运行,脉冲持续时间可达50 fs。此外,二次谐波可集成到激光器内部,而三次和四次谐波可通过外部谐波发生器获得。FL1振荡器支持载波包络相位(CEP)稳定或重复频率锁定(RRL)到外部源,重复频率选择从60到100 MHz可选。这另种FLINT模型均有标准和短脉冲配置可选,以满足大多数工业和科学应用的需要。 关于光量科技 北京光量科技有限公司,专注于超快激光和光谱探测产品的推广和服务。总部在北京,杭州、长春、深圳均设有办事处,为不同区域的客户提供及时高效的服务。我司同时是多家品牌激光及相关设备的专业代理商,可以为您提供诸如科研相机,光谱仪,飞秒激光器,皮秒纳秒激光器,激光微加工系统等产品,欢迎您登陆,或(北京)(杭州),我们将为您提供更多关于产品的信息和相关服务,感谢您的支持和信任。 |

















