视觉定位系统原理——基础矩阵
一、视觉定位系统基础矩阵的原理介绍基础矩阵我们先说一下对积几和 对极几何一定是对二幅图像而言,对极几何实际上是“两幅图像之间的对极几何”,它是图像平面与以基线为轴的平面束的交的几何(这里的基线是指连接摄像机中心的直线),以下图为例:对极几何描述的是左右两幅图像(点x和x’对应的图像)与以CC’为轴的平面束的交的几何!
直线CC’为基线,以该基线为轴存在一个平面束,该平面束与两幅图像平面相交,下图给出了该平面束的直观形象,可以看到,该平面束中不同平面与两幅图像相交于不同直线;
上图中的灰色平面π,只是过基线的平面束中的一个平面(当然,该平面才是平面束中最重要的、也是我们要研究的平面); epipolarpoints极点 每一个相机的透镜中心是不同的,会投射到另一个相机像面的不同点上。这两个像点用eL和eR表示,被称为epipolarpoints极点。两个极点eL、eR分别与透镜中心OL、OR在空间中位于一条直线上。 epipolarplane极面 将X、OL和OR三点形成的面称为epipolarplane极面。 epipolarline极线 直线OL-X被左相机看做一个点,因为它和透镜中心位于一条线上。然而,从右相机看直线OL-X,则是像面上的一条线直线eR-XR,被称为epipolarline极线。从另一个角度看,极面X-OL-OR与相机像面相交形成极线。 极线是3D空间中点X的位置函数,随X变化,两幅图像会生成一组极线。直线OL-X通过透镜中心OL,右像面中对应的极线必然通过极点eR。一幅图像中的所有极线包含了该图像的所有极点。实际上,任意一条包含极点的线都是由空间中某一点X推导出的一条极线。 如果两个相机位置已知,则: 1.如果投影点XL已知,则极线eR-XR已知,点X必定投影到右像面极线上的XR处。这就意味着,在一个图像中观察到的每个点,在已知的极线上观察到该点的其他图像。这就是Epipolarconstraint极线约束:X在右像面上的投影XR必然被约束在eR-XR极线上。对于OL-XL上的X,X1,X2,X3都受该约束。极线约束可以用于测试两点是否对应同一3D点。极线约束也可以用两相机间的基本矩阵来描述。 2.如果XL和XR已知,他们的投影线已知。如果两幅图像上的点对应同一点X,则投影线必然交于X。这就意味着X可以用两个像点的坐标计算得到。 二、视觉定位系统基础矩阵如果已知基础矩阵F,以及一个3D点在一个像面上的像素坐标p,则可以求得在另一个像面上的像素坐标p‘。这个是基础矩阵的作用,可以表征两个相机的相对位置及相机内参数。
面具体介绍基础矩阵与像素坐标p和p’的关系。 以O1为原点,光轴方向为z轴,另外两个方向为x,y轴可以得到一个坐标系,在这个坐标系下,可以对P,p1(即图中所标p),p2(即图中所标p‘)得到三维坐标,同理,对O2也可以得到一个三维坐标,这两个坐标之间的转换矩阵为[RT],即通过旋转R和平移T可以将O1坐标系下的点P1(x1,y1,z1),转换成O2坐标系下的P2(x2,y2,z2)。 则可知,P2=R(P1-T)(1) 采用简单的立体几何知识,可以知道
![]()
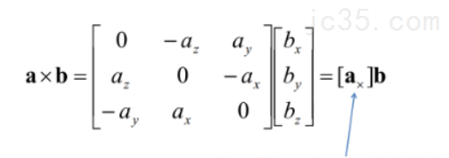
其中,p,p‘分别为P点的像点在两个坐标系下分别得到的坐标(非二维像素坐标)。Rp’为极面上一矢量,T为极面上一矢量,则两矢量一叉乘为极面的法向量,这个法向量与极面上一矢量p一定是垂直的,所以上式一定成立。(这里采用转置是因为p会表示为列向量的形式,此处需要为行向量) 采用一个常用的叉乘转矩阵的方法,
![]()
将我们的叉乘采用上面的转换,会变成
![]()
红框中所标即为本征矩阵E,他描述了三维像点p和p‘之间的关系
![]()
有了本征矩阵,我们的基础矩阵也就容易推导了, 注意到将p和p‘换成P1和P2式(4)也是成立的,且有 q1=K1P1(6) q2=K2P2(7) 上式中,K1K2为相机的校准矩阵,描述相机的内参数q1q2为相机的像素坐标代入式(4)中,得
![]()
上式中p->q1,p‘->q2 这样我们就得到了两个相机上的像素坐标和基础矩阵F之间的关系了
![]()
二、不同图像对的基础矩阵 代码 # coding: utf-8 # In[1]: from PIL import Image from numpy import * from pylab import * import numpy as np # In[2]: from PCV.geometry import homography, camera, sfm from PCV.localdescriptors import sift # In[5]: # Read features im1 = array(Image.open('im1.jpg')) sift.process_image('im1.jpg', 'im1.sift') im2 = array(Image.open('im2.jpg')) sift.process_image('im2.jpg.', 'im2.sift') # In[6]: l1, d1 = sift.read_features_from_file('im1.sift') l2, d2 = sift.read_features_from_file('im2.sift') # In[7]: matches = sift.match_twosided(d1, d2) # In[8]: ndx = matches.nonzero()[0] x1 = homography.make_homog(l1[ndx, :2].T) ndx2 = [int(matches[i]) for i in ndx] x2 = homography.make_homog(l2[ndx2, :2].T) d1n = d1[ndx] d2n = d2[ndx2] x1n = x1.copy() x2n = x2.copy() # In[9]: figure(figsize=(16,16)) sift.plot_matches(im1, im2, l1, l2, matches, True) show() # In[10]: #def F_from_ransac(x1, x2, model, maxiter=5000, match_threshold=1e-6): def F_from_ransac(x1, x2, model, maxiter=5000, match_threshold=1e-6): """ Robust estimation of a fundamental matrix F from point correspondences using RANSAC (ransac.py from /Cookbook/RANSAC). input: x1, x2 (3*n arrays) points in hom. coordinates. """ from PCV.tools import ransac data = np.vstack((x1, x2)) d = 10 # 20 is the original # compute F and return with inlier index F, ransac_data = ransac.ransac(data.T, model, 8, maxiter, match_threshold, d, return_all=True) return F, ransac_data['inliers'] # In[11]: # find F through RANSAC model = sfm.RansacModel() F, inliers = F_from_ransac(x1n, x2n, model, maxiter=5000, match_threshold=1e-3) print(F) # In[12]: P1 = array([[1, 0, 0, 0], [0, 1, 0, 0], [0, 0, 1, 0]]) P2 = pute_P_from_fundamental(F) # In[13]: print(P2) print(F) # In[14]: # P2, F (1e-4, d=20) # [[ -1.e 00 1.e 01 5.e 02 4.e 03] # [ 1.e 01 -9.e 01 -4.e 03 5.e 02] # [ 2.e-02 3.e-03 -1.e 02 1.e 00]] # [[ -1.e-07 4.e-06 -2.e-03] # [ -1.e-06 6.e-07 2.e-02] # [ 1.e-03 -2.e-02 1.e 00]] # In[15]: # triangulate inliers and remove points not in front of both cameras X = sfm.triangulate(x1n[:, inliers], x2n[:, inliers], P1, P2) # In[16]: # plot the projection of X cam1 = camera.Camera(P1) cam2 = camera.Camera(P2) x1p = cam1.project(X) x2p = cam2.project(X) # In[17]: figure(figsize=(16, 16)) imj = sift.appendimages(im1, im2) imj = vstack((imj, imj)) imshow(imj) cols1 = im1.shape[1] rows1 = im1.shape[0] for i in range(len(x1p[0])): if (0<= x1p[0][i] plot([x1p[0][i], x2p[0][i] cols1],[x1p[1][i], x2p[1][i]],'c') axis('off') show() # In[18]: d1p = d1n[inliers] d2p = d2n[inliers] # In[19]: # Read features im3 = array(Image.open('im3.jpg')) sift.process_image('im3.jpg', 'im3.sift') l3, d3 = sift.read_features_from_file('im3.sift') # In[20]: matches13 = sift.match_twosided(d1p, d3) # In[21]: ndx_13 = matches13.nonzero()[0] x1_13 = homography.make_homog(x1p[:, ndx_13]) ndx2_13 = [int(matches13[i]) for i in ndx_13] x3_13 = homography.make_homog(l3[ndx2_13, :2].T) # In[22]: figure(figsize=(16, 16)) imj = sift.appendimages(im1, im3) imj = vstack((imj, imj)) imshow(imj) cols1 = im1.shape[1] rows1 = im1.shape[0] for i in range(len(x1_13[0])): if (0<= x1_13[0][i] plot([x1_13[0][i], x3_13[0][i] cols1],[x1_13[1][i], x3_13[1][i]],'c') axis('off') show() # In[23]: P3 = pute_P(x3_13, X[:, ndx_13]) # In[24]: print(P3) # In[25]: print(P1) print(P2) print(P3) # In[26]: # Can't tell the camera position because there's no calibration matrix (K) 得到视觉对位系统基础矩阵如下
![]()
室外
![]()
得到基础矩阵如下
![]()
|
















