大型上辊式卷板机技术要点是什么?
时间:2022-09-25来源:佚名
|
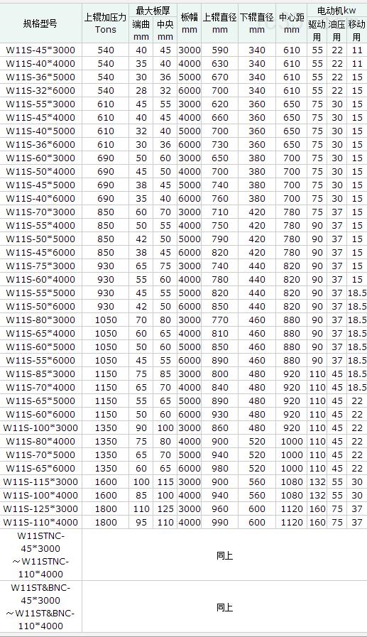
大型上辊式卷板机技术要点是什么? 大型上辊式卷板机技术要点是什么? 1.产品介绍 本设备可将板材弯卷成圆筒或圆锥筒,是锅炉、造船、石油、化工、水泥、电机及机械制造等行业的重要设备。本设备上辊可在垂直和水平两个方向上移动,当上辊对下辊呈非对称位置时可实现预弯,有效地解决剩余直边问题。 2.性能特点: 一、该型卷板机具有板端预弯功能,预弯剩余直边量≤2.5倍板厚。 二、采用EPS自动电子调平技术,实时监测实时调整,自动调整上辊水平度,保持上下辊平行。 三、该型卷板机采用T型槽滑枕式水平移动机构,可承受极大的油缸加压力。 四、该型卷板机*的后弯曲工艺,可实现端部预弯,连续弯曲无后角,弯曲过程全数字显示。 五、大尺寸液晶触摸屏数显,人机对话控制界面,高效直观操作。 六、上辊固定扰度补偿与下辊托辊可变扰度补偿相结合,有效克服扰度变形影响,提高制品直线度。 七、具有各种过载及安全防护功能,互联互锁,故障自动报警和提示,可有效防止误操作,保护设备及操作人员安全. 3.技术参数: ![]() |







