|
0 引言 *,能源作为经济发展的重要引擎,堪称是民经济的命脉。采矿业一直是能源工业的重要支柱,我的矿业生产主要来自井下开采,环境恶劣,就以煤矿为例,煤矿井下存在水、火、瓦斯、煤尘、顶板五大自然灾害,加上生产环境复杂,易发生恶性事故。 出于安全考虑,矿山井下低压配电系统的接地形式按规定采用的是IT系统。IT系统就是电源中性点不接地、用电设备外露可导电部分直接接地(PE线)的系统。 IT系统的特点是发生一次接地故障时,接地故障电流仅为非故障相对地的电容电流,其值很小,外露导电部分对地电压不超过50V,不需要立即切断故障回路,因此可以保证供电的连续性。但此时非故障相对地电压会升高1.732倍,对线路耐压要求提升;同时一旦发生二次接地,则构成危险的相间短路,所以须配置绝缘监测装置,以便在发生一次接地时就要及时排除隐患。 而对于以煤矿为典型代表的井下环境来说,在开采过程中,由于工作场所空间小、纵深长,加上空气潮湿、多尘、巷道滴水和积水等诸多恶劣因素,很容易引起电缆和电气设备老化和绝缘电阻下降,从而导致井下设备、电缆经常发生绝缘强度降低、单相漏电或单相接地故障,不及时处理就可能进一步发展成相间短路。因此,井下作业人员比正常环境下更容易遭受电击的危险,而且还可能导致瓦斯、煤尘的保炸。 显而易见,对矿山井下IT系统的实时绝缘监测具有更重要的意义。 1 标准规范中的相关规定 为了保证井下生产的正常开展和保护井下人员的操作安全性,家制定了不少相关标准和规范,对IT系统安装绝缘监测装置进行了具体规定。 例如《GB 50070—2009 矿山电力设计规范》规定如下: “4.1.3 井下低压配电系统接地型式应采用 IT 系统,并应符合下列规定: 1 配电系统电源端的带电部分应不接地或经高阻抗接地,且配电系统相导体和外露可导电部分之间一次出现阻抗可忽略的故障时,故障电流不应大于5A。 2 配电系统不宜引出 N 线。” “4.2.9 井下低压配电 IT 系统应采取自动切断电源的间接接触防护措施,并应符合下列规定: 1 低压配电 IT 系统均应装设绝缘监视装置,当绝缘下降至整定值时,应由绝缘监视器发出可听和(或)可见信号。 2 有保炸危险环境矿井,当发生对外露导电部分或对地的单一接地故障时,防护装置应迅速切断故障线路。” 《GB 50058-2014 保炸危险环境电力装置设计规范》中的5.5.1条款也规定了“保炸性环境中的IT型电源系统应设置绝缘监测装置。” 此外,各种不同矿类也都有自己专门的规范和工作细则,例如《煤矿井下低压检漏保护装置的安装、运行、维护与检修细则》就对绝缘监测的报警定值设置等做了更具体的规定。 2 内外绝缘监测仪在线监测现状 我的电气设计在建之初师从苏联电气规范,主要是广泛的采用TN—C系统,它可以节省一根PE线,比较经济,但存在很多缺点,如中性线断裂后设备外壳对地将带220V危险接触电压,不能装用RCD防电击等等。改革开放之后我引进了电工学会标准,也随着我电气技术的不断提高,在应用中TN-S、TT、IT系统得到了一定程度的推广和应用,以IT系统为例,在医疗IT方面目应用比较成熟,但在很多工业场合,由于对接地系统的理解和应用尚不尽深入和,比如煤矿井下场合比较缺乏产绝缘监测装置就是一个证明。 目矿用井下IT系统的绝缘监测装置以进口品牌为主,欧美等发达家已经较广泛地在IT配电网络中应用绝缘检测技术,而且经过长期的在线运行使发达家积累了大量监测数据和经验,这是目内生产厂家需要学习和追赶的。 但采用进口品牌绝缘监测装置造价昂贵,而且人机界面往往是英文,不利于现场人员的使用,在这种背景下,也不断有内企业逐步推出了自己的工业用绝缘监测装置,其中就包括了安科瑞电气有限公司的AIM-T系列绝缘监测仪。 3 安科瑞工业绝缘监测仪  AIM-T300 AIM-T500 
AIM-T500L AIM-T系列绝缘监测仪主要应用在工业场所IT配电系统中,主要包括AIM-T300、AIM-T500和AIMT500L三款产品,均适用于纯交流、纯直流以及交直流混合的系统。 其中AIM-T300适用于450V以下的交流、直流以及交直流混合系统,AIM-T500适用于800V以下的交流、直流以及交直流混合系。AIM-T500L则是相比AIM-T500增加了绝缘故障定位功能。 1)AIM –T系列产品的技术参数如下表所示: 型号 | AIM-T300 | AIM-T500 | AIM-T500L | 辅助电源 | 电压 | AC85…265V | AC85…265V | 功耗 | <8W | <8W | 被监测IT系统 | 电压 | 0…480V AC/DC | 0…690V AC 0…800V DC | 频率 | 40…60Hz | 40…60Hz | 绝缘监测 | 测量范围 | 1kΩ…5MΩ | 1kΩ…10MΩ | 报警值范围 | 10kΩ…5MΩ | 10kΩ…10MΩ | 相对误差 | 1…10k:10k; 10k…5M: ±10% | 1…10k:10k; 10k…10M: ±10% | 允许系统泄露电容 | <150uF | <500uF | 响应时间 | <6s | <5s | 内部参数 | 测量电流 | <170uA | <270uA | 绝缘故障定位 | —— | —— | 有 | 电磁兼容/电磁辐射 | IEC61326-2-4 | IEC61326-2-4 | 额定冲击电压/污染等级 | 8kV/Ⅲ | 8kV/Ⅲ | 内部直流电阻 | ≥120kΩ | ≥180kΩ | 输出 | 继电器输出 | 预警、报警 | 出错、预警、报警 | 环境 | 工作温度 | -15… 55℃ | -15… 55℃ | 存储温度 | -20… 70℃ | -20… 70℃ | 相对湿度 | 5%…95%,不结露 | 5%…90%,不结露 | 海拔高度 | ≤2500m | ≤2500m | 通讯 | | RS485,Modbus-RTU | RS485,Modbus-RTU |
2)AIM –T系列产品的外观尺寸如下图所示:  AIM-T300正视图 
AIM-T300俯视图 
AIM-T300面板开孔尺寸图  AIM-T500/L正视图 
AIM-T500/L俯视图 
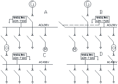
AIM-T500/L面板开孔尺寸图 3)AIM –T系列产品的典型应用如下图所示:  4 小结 安科瑞AIM-T系列工业用绝缘监测仪目已经在矿井、纸业、船舶、冶金厂等的诸多工业场合的IT系统中得到了应用,能够实时监测系统对地的绝缘状况,在系统出现绝缘下降或接地故障时,及时报警提醒相关人员排查故障,在应用中起到了很好的监控和预防效果。
|