GB 13519 塑料薄膜热收缩率及收缩比的介绍
时间:2022-09-25来源:佚名
|
GB 13519 塑料薄膜热收缩率及收缩比的介绍 对于热收缩塑料薄膜来说,热收缩率及热收缩比是其非常重要的性能指标。通常来说,塑料薄膜热收缩率的性能测试方法有烘箱法、空气加热法以及油浴法,这三种方法由于参考的标准不一样,所以没有可比性。在这里我们就以GB 13519 油浴法为例,介绍下塑料薄膜热收缩率及收缩比的试验方法。
一、塑料薄膜热收缩率及收缩比试验方法 1、试验装置:热收缩仪RSY-03 2、液体传热介质:传热介质的选择,以对试样无影响为原则。一般选用甘油。 3、框架:两个嵌有金属网的框架,其尺寸略大于试样。两金属网间距离为1~3 mm,应不影响试样的自由收缩。 4、试验步骤 在试样纵向和横向各画一条对称轴作标记,并标明纵、横向,将试样平放入两框架间,接着,迅速浸入120±2℃的恒温介质中自由收缩,20 s后取出,浸入备用的常温浴中,冷却5 s后取出试样,水平静置,在30 min内测量纵横对称轴尺寸。精确到1 mm,并记录测量数据。
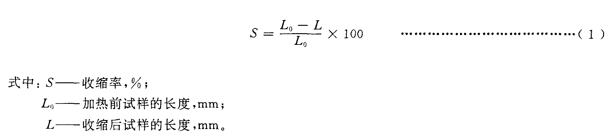
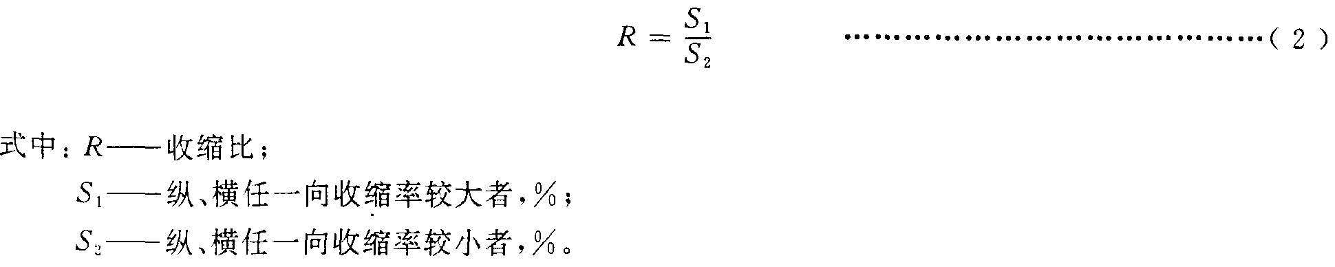
二、热收缩率热收缩比的计算方法 1、收缩率热收缩比计算方法
2、试验结果 试验结果以三组试样试验结果的算术平均值表示,取两位有效数字。收缩率小于或等于0%时收缩比均作为1。
济南三泉中石实验仪器研发生产的热收缩仪RSY-03就是采用油浴法方式来测量计算塑料薄膜热收缩率及收缩比,仪器采用微电脑控制,PVC菜单式操作界面,操作简单方便,广泛应用于塑料薄膜基材(PVC膜、POF膜、PE膜、PET膜、OPS膜等热缩膜)、软包装复合膜 、PVC聚氯乙烯硬片、太阳能电池背板及其他具有受热收缩性能的材料的热收缩性能检测。 |










