三相负载的星形连接及电路计算方法
时间:2022-12-10来源:佚名
|
有关三相负载的星形连接方式,各相负载的末端U2、V2、W2连在一起接到三相电源的中性线,各相负载的首端U1、Vl、W1分别接到三相交流电源的三根相线,并提供了具体的电路计算方法。 一、三相负载的连接方式把各相负载的末端U2、V2、W2连在一起接到三相电源的中性线上;把各相负载的首端U1、Vl、W1分别接到三相交流电源的三根相线上,这种连接的方法叫做三相负载的星形连接。 如下图(a)所示为三相负载星形连接的原理图,图(b)所示为三相负载星形连接的实际电路图。
负载作星形连接并具有中性线时,每相负载两端的电压称为负载的相电压,用表示。 二、三相负载的电路计算当输电线的电阻被忽略时,负载的相电压等于电源相电压:
电源的线电压与负载的相电压关系为:
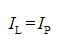
在三相交流电路中,负载作星形连接,流过每一相负载的电流称为相电流,分别用
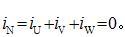
当负载作星形连接具有中性线时,三相交流电路的每一相,就是一个单相交流电路,各相电压与电流间数量及相位关系可应用前面学习的单相交流电路的方法处理。 如下图,由于每相的负载都串在相线上,相线和负载通过的是同一个电流,所以各线电流等于各相电流,即 除此之外,还要考虑流过中性线的电流,由基尔霍夫节点电流定律可以求出中性线电流。一般采用矢量法来分析。中性线电流为线电流(或相电流)的矢量和
对于三相对称负载,在对称三相电源作用下,三相对称负载的中性线电流等于零,如下图(a)所示。即
由于电流是瞬时值,三相电流瞬时值的代数和也为零,即
因此对称负载下中性线便可以省去不用,电路变成如下图(b)所示的三相三线制传输。如在发电厂与变电站、变电站与三相电动机等之间,由于负载对称,便采用三相三线制传输。
若负载不对称,则中性线电流不为零,其中性线电流为 |



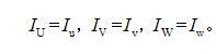
表示,一般用
来表示。流过每根相线的电流称为线电流,分别用
来表示,一般用
表示。
一般写成 











