低压配电系统接地问题:保护接地与保护接零
低压配电系统保护接地与保护接零图解
第一部分:保护接地
接地:出于不同目的,将电气装置中某一部位经接地线或接地体,与大地做良好的电气连接。工作接地是指为运行需要而将电力系统或设备的某一点接地,如变压器中性点直接接地等;保护接地是指为防止人身触电事故而将电气设备的某一点接地,如电气设备的金属外壳接地等。
电气设备不接地的前提下,分别考虑电源中性点接地以及不接地两种情况。
1.电源中性点直接接地的电网中,电气设备不接地的危险性
如图所示,当电气设备绝缘异常时外壳带相电,人体触及设备外壳时,电流流过人体的路径为:设备外壳->人体->大地->电源中性点。假设人体电阻RB为1700Ω,接地电阻R0为4Ω,则流过人体的电流大小为:
超出安全范围,造成人身伤害。
2.电源中性点不直接接地的电网中,电气设备不接地的危险性
若电气设备发生故障,外壳带相电时,人体触及设备外壳,电流流过人体的路径为:设备外壳->人体->其他两相线路对地分布电容->其他两相电源。此时流过人体的电流大小为:
其值大小取决于电缆对地容抗。总的来说,这种情况下可能造成人身触电。
电气设备接地的前提下,分别考虑电源中性点接地以及不接地两种情况。
1.TT系统:电源中性点直接接地,电气设备的金属外壳经各自的保护线PE直接接地的三相四线制低压配电系统。
当电气设备外壳带电时,假设接地电阻RE=R0=4Ω,人体电阻RB=1700Ω,此时电源线路中故障电流为:
即使线路中安装有断路器,通常不足以发挥断路器的过载保护功能,因而电源线路并未切断,这将使得电气设备外壳长期存在110V的对地电压,当人体触及带电外壳时,流过人体的电流为:
会造成人身伤害。
2.IT系统:电源中性点不接地,而电气设备的金属外壳经各自的保护线PE直接接地的三相三线制低压配电系统。
在IT系统中,当电气设备的绝缘损坏使外壳带电且人体触及外壳时,电流同时从接地体和人体流过。由于人体的电阻要比接地电阻Re大很多,流经人体的电流也就比流过接地体的电流小很多,此时电气设备接地保护发生作用,保护人身安全。
综上所述,保护接地主要应用于中性点不接地的电网中(IT系统),工作原理就是并联电路中电阻的分流作用。因此接地电阻的数值对于保护效果是至关重要的。
第二部分:保护接零
接零保护的工作原理
电气设备正常工作时,零线不带电(或者电压很小),由于电气设备外壳与电源零线连接,人体触摸设备外壳并没有危险。当电动机等用电设备发生“碰壳”故障时,相线与零线短接,短路电流足以使安装在电源线路上的熔断器或者断路器发挥短路保护功能,从而切断电源。
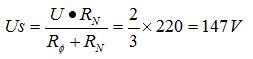
注意:当设备发生“碰壳”故障到熔断器或断路器切断电源的时间间隔内,此时流过人体的电流如图所示:
不考虑电缆电阻时,很显然此时电气设备外壳对地电压为220V,若人体触及外壳时非常危险;若考虑电缆电阻,其中RΦ为相线电阻,RN为零线电阻,假设相线电缆截面为零线电缆截面的2倍,设备外壳电压:
此时人体触及外壳时将承受147V的电压,同样很危险。总的来说,保护接零的有效性在于线路的短路保护装置能否快速切断电源。
TN系统:电源的中性点接地,负载设备的金属外壳通过保护线连接到此接地点的低压配电系统。
接零保护的三种形式
1.TN-C系统
这种配电系统的零线N和保护线PE为同一根线,成为PEN线。
存在的问题:若PEN某一点P处断开,在P点以后的设备外壳上,由于负载中性点的偏移,可能出现危险电压。更为严重的是,若P点以后的某一设备发生“碰壳”故障,即使线路上安装有断路器或熔断器也不会动作,导致后面的设备外壳上长期带有相电压,非常危险。
2.TN-S系统
TN-S系统的零线N和保护线PE是分开设置的,所有设备的外壳只和公共的PE线连接。
这种配单系统中,零线N的作用是通过单相负载的电流或者三相不平衡电流,成为工作零线;PE线为保护零线。零线N断开时只会影响单相负载的正常使用,并不会使其他设备外壳带电(前提是保护线PE不能断开)。
3.TN-C-S系统
 |