三相负载的联结方式
时间:2022-12-10来源:佚名
|
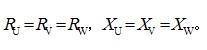
有关三相负载的联结方式,三相电源供电的负载叫三相负载,各相负载的大小和性质完全相同的叫对称三相负载,三相电路中,负载有星形(用符号“Y”表示)和三角形(用符号“△”表示)两种联结方式。 三相负载的二种联结方式由三相电源供电的负载叫三相负载(例如三相交流电动机)。 三相电路中的三相负载,可分为对称三相负载和不对称三相负载。 各相负载的大小和性质完全相同的叫对称三相负载,即:
如三相电动机、三相变压器、三相电炉等。各相负载不等的就叫不对称三相负载,例如,家用电器和电灯,这类负载通常是按照尽量平均分配的方式接入三相交流电源中。 在三相电路中,负载有星形(用符号“Y”表示)和三角形(用符号“△”表示)两种联结方式。 |









