小型开关电源滤波电路设计方法图解
|
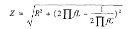
小型开关电源的滤波电路设计情况 一、低通滤波回路设计 本方案中,本文所设计的这一功率为30W的小型开关电源的低通滤波回路设计,如下图图1所示。低通滤波回路在这一开关电源系统中能够有效防止输入电源窜入噪声干扰,同时还要抑制浪涌电压、尖峰电压的进入,还可以阻止、限制开关电源所产生的噪声,高频电磁干扰信号通过输人电线反馈进入电网。 因为不同波段的电磁波所产生的感抗是不一样的,因此设计电路所选用的电容和电感也就不同。 按照计算公式的要求来看,电路的电抗是阻抗、感抗和容抗的矢量和,即:
图1 低通滤波回路 二、整流滤波回路设计 在本方案中,所设计的这一输出功率为30W的小型开关电源,其内部的整流滤波回路设计如下图图2。 在开关电源的整流滤波回路设计过程中,相信很多工程师都非常清楚的一点是,输入电容是由输出保持时间以及直流输入电压要求的纹波大小决定,且流经电容的纹波在电容允许值范围内。 由于滤波电容大多采用电解铝作为电解质,故纹波电流对电容寿命有很大影响。 在本方案中,我们所设计的这一小功率开关电源的整流桥,是由4只二极管组成的,每只二极管串联起来完成电压半周整流。 因此,在实际测试中这一整流滤波回路中的每只二极管中流过的电流只有整个电流平均值的一半,每个二极管所承受电压是最大反向电压的一半,输入回路的峰值为0.5A,输入回路的最大输入峰值直流电压为750V。
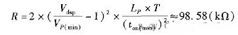
在方案中,这一小功率的开关电源吸收回路系统设计如上图图3所示。 图3所给出的这一吸收回路是利用电阻、电容和阻塞二极管组成的钳位电路,能够有效地保护开关功率管不受损坏。 当开关功率管导通时变压器的磁通量增大,这时便将电能积蓄起来。 当开关功率管截止时,便将积蓄的电能释放,变压器初级绕组中便有剩磁的产生,并通过D5反馈到次级。 剩磁释放完毕后,初级绕组NP的电压VP为120V~340V功率管能够承受的最大峰值电压为650V。吸收时间最小为21xs,则吸收回路的电阻可计算为:
在计算过程中注意,时间常数RC通常要比周期T大得多,因此在计算时一般会取5倍左右。 因为电路工作在高频状态,故必须使用超快速恢复二极管,此处二极管选用Motorola公司的MUR460,其耐压600V以上,电流值在4A以上。 以上是针对一种输出功率为30W的小功率开关电源设计方案,希望能够通过两天来的电路设计简析,对各位初学者和电子爱好者的设计学习带来一定的帮助。 |













