负反馈放大电路中引入正反馈的原因
时间:2022-12-12来源:佚名
|
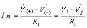
有关负反馈放大电路中引入正反馈的原因,引入适当的正反馈,可以有效地增大输入电阻,在阻容耦合放大电路中,常在引入负反馈的同时,引入合适的正反馈。 负反馈放大电路引入正反馈在引入负反馈的同时,引入适当的正反馈,可以有效地增大输入电阻。 在阻容耦合放大电路中,常在引入负反馈的同时,引入合适的正反馈,通常它们的目的具有一致性。 例如,在图所示电路中,为保证耦合电容C1有自身的充放电回路,R1 R2必须接入,但因此降低了放大电路的输入电阻。 分析时电容C1、C2对于交流信号均可视为短路,可知其存在两路反馈,第一路为输出电压通过R4和并联电阻R2//R3分压后接到反相输入端,是电压串联负反馈;另一路为通过C2和R1接同相输入端,所引入的是正反馈。 第一路串联负反馈增大了输入电阻,并使运放稳定工作。另一路正反馈虽然在某些方面削弱了负反馈的影响,但在增大输入电阻这一点上与前者目的相同。若断开C2,则正反馈不存在,因为从集成运放同相输入端看进去的等效电阻无穷大。 因此,电路的输入电阻约为(R1 R2)。而引入正反馈后, R2和R3并联,从集成运放同相输入端看进去的等效电阻仍趋于无穷大,R1中的电流
R1等效到放大电路输入端的电阻为
在负反馈足够深的情况下,
图 引入正反馈的自举电路 |


,因而
将比R1增大许多倍(视反馈深度大小),从而使整个放大电路的输入电阻不致因R1支路的存在而降低。这种通过引入正反馈提高输入电阻,从而提高输入电压的方法称为“自举”,这类电路因而称为自举电路。






