电机轴承最小负荷计算公式
时间:2023-03-04来源:佚名
|
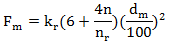
读者如果熟悉各个国际知名品牌的轴承知识会发现,不同品牌对寿命的计算方法在ISO标准方法之上有各自不同的修正。相似的情况对于最小负荷的计算也是一样,各个厂家各有不同,但是基本原则没有太大差异。 最小负荷的计算公式 首先,一个粗略的方法是可以使用一个估算系数粗略的进行估计。对于球轴承:P=0.01C;对于滚子轴承:P=0.02C;对于满滚子轴承:P=0.04C,其中P为当量负荷(计算方法见轴承寿命计算部分),C为轴承额定动负荷。 如果需要进行详细轴承最小负荷的计算,可以参照下面公式: ①深沟轴承最小负荷计算公式 ![]() ②圆柱滚子轴承最小负荷计算公式 ![]() 其中:Fm是轴承的最小负荷(单位kN);kr为最小负荷系数(SKF轴承型录可查);v为润滑油在工作温度下的黏度(单位mm2/s);n为转速(单位r/mm);dm为轴承平均直径=0.5(d D)(单位mm) 对于工程师而言,在进行轴承选型的时候,需要在校核轴承寿命的同时,也对轴承最小负荷进行校核计算。这样就可以避免由于轴承 最小负荷不足导致的轴承提早失效。经验上,我们发现对于深沟球轴承而言往往计算出的数值会比较小,选型的时候可以适当保守,对这个数值适度增加。 影响轴承最小负荷的一些因素 从上面公式中可以看出,以下一些因素影响轴承最小负荷的大小 1、轴承的的转速 轴承的工作转速越高,所需要的最小负荷越大。因此在相同电机轴承的选择中,对于高转速的应用,需要校核最小负荷情况。 2、轴承的直径 轴承直径越大,所需要的最小负荷越高。也就是说越大的轴承,形成滚动所需要的最小负荷越高。 3、轴承的宽度 大家可以查找轴承型录中的Kr参数,不难发现,轴承宽度越宽,Kr值越高,也就是轴承形成滚动所需要的最小负荷越大。 综合考虑轴承直径与宽度的影响,不难发现,轴承的负荷能力越高,所需要的最小负荷也相应的最大。所以,总体上,圆柱滚子轴承所需要的最小负荷大于深沟球轴承所需要的最小负荷。 4、轴承使用润滑在工作温度下的基础油粘度 轴承润滑剂在轴承工作温度下的基础油黏度越大,形成滚动所需要的最小负荷也会越大。 最小负荷不足的情况还会发生在另一种情况下,就是当温度过低的时候,轴承内部润滑脂黏度过大,导致轴承形成滚动所需要的最小负荷变大,此时电机运转的时候,轴承就会出现最小负荷不足的情况。 面对这种情况,就需要适当降低润滑脂的黏度。或者在电机温度过低的时候(尤其是冷态启动的时候)通过一些辅助加热的方法,升高轴承室内润滑脂的温度,降低其黏度, 从而使电机轴承的滚动易于启动。 |










