在plc编程中,只要涉及到数据采集和输出,都会遇到模拟量的线性变换。在西门子300plc编程中,系统自带的两个线性变换功能块FC105和FC106是最常用的两个数据转换模块。FC105和FC106只适用与把采集通道的数字量(INT)转换为物理量(REAL),在一些普适的场合就不适用了。在碰到线性变换时,需要用户自己编写线性变换程序,费时费力还容易出错。本文简单介绍PLC中模拟量线性标定子程序的原理和方法。

1. 线性变换原理

线性变换原理.
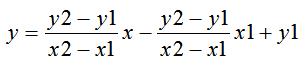
线性变换的原理很简单,比如说,在工程测量中,常会遇到4-20mA的传感器,如压力传感器或位移传感器等,要转换为0-50MPa的物理量。用高中学过的直线方程两点式就可以了。已知两点(4,0)和(20,50),求(x,y)。
2. 线性变换子程序
以下介绍线性变换的子程序编写。
新建一个功能块(如FC30),在FC30中编写线性变换子程序。
如图1.1所示为线性转化子程序输入变量。如图所示,为了便于使用,输入变量的数据类型都定义为浮点数。(在数据采集中,可能会遇到把采集值(PIW INT)转换为模拟量(REAL)。或者把物理量(REAL)转换为输出量(PQW,INT),此方法已经在我的上一个小技巧教程中介绍过了。)
已知(x1,y1),(x2,y2)两点,求(x,y)。

图1.1 线性变换子程序输入变量
如图1.2所示为线性转化子程序输出变量。如图所示,为了便于使用,输出变量的数据类型为浮点数。

图1.2 线性变换子程序输出变量

图1.3 线性变换中间变量
如图1.4所示为线性转化子程序的逻辑。线性变换的子程序非常简单,就是用加减乘除把线性变换原理中的两点式公式表示出来即可。

图1.4 线性变换程序
如图1.4所示为线性转化子程序的应用举例。如图所示,输入段为4-20mA的模拟量,输出段为0-50MPa的压力值。

线性变换子程序应用