|
如下图所示是由稳压管组成的稳压电路。交流电压u 2 u2 经桥式整流和电容滤波后得到直流电压U i Ui ,再经限流电阻R和稳压管VD组成的稳压电路供电给负载电阻R L RL 。
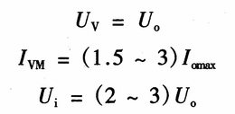
 下面分析交流电源电压变化时或负载变化时,稳压电路稳定输出电压的工作原理。 由稳压管特性可知,当稳压管反向击穿后,如果工作电流在I V ∼I VM IV∼IVM 范围内,其端电压仅发生微小变化,也可以这样理解,稳压管端电压的微小变化会引起其电流的显著变化,利用这个特性将稳压管与限流电阻串联,就起到稳定输出电压的作用。当电源电压U i Ui 升高时,负载电压U o Uo 相应地升高,根据上文中的图a的伏安特性,I V IV 将显著地增大,在限流电阻R上的压降(I L I V )R (IL IV)R 亦将增大,从而抵消了U i Ui 的升高对U o Uo 的影响。尽管此时稳压管的电流增大了,但其端电压仅有微小的增加,与之并联的负载电压U oi Uoi 几乎不变。反之,若U i Ui 下降,I V IV 减小,R上的压降减小,亦使U o Uo 近乎不变。 若电源电压U i Ui 不变,负载电流改变,如I L IL 增大,由于电源内阻和R上的压降增大,使U o Uo 下降,I V IV 也明显地减小,从而使得流过R上的电流(I R =I V I L ) (IR=IV IL) 及其压降近乎不变,输出电压U 0 U0 也就近乎不变。反之,负载电流减小时,稳压电路稳压过程正好相反。 实际应用时,首先根据负载电压U 0 U0 和负载电流I 0 I0 来选择稳压管及确定输入电压U i Ui ,通常取:
 U i Ui 取得高,便可选较大的限流电阻R,这样稳压电路的稳压性能就好,但电路的功率损耗也将增大。 限流电阻R的选择,应保证流过稳压管的电流介于稳压管最小稳定电流和最大稳定电流之间,应该使稳压管工作在稳压区。若难以选择合乎上述条件的电阻R,可改选最大稳定电流较大的稳压二极管。 稳压管稳压电路较简单,但效率低,通常用于小功率电子设备和电子仪器中。
|