变频器及其控制
时间:2023-03-05来源:佚名
|
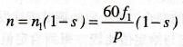
交流变频器是微计算机及现代电力电子技术高度发展的结果。微计算机是变频器的核心,电力电子器件构成了变频器的主电路。大家都知道,从发电厂送出的交流电的频率是恒定不变的,在我国是50周每秒。交流电动机的同步转速 n1=60f1/p 式中:n1为同步转速,单位为r/min;f1为定子频率,单位为Hz;p为电机的磁极对数。 异步电动机转速
式中,s为转差率,s= (n1-n)/n1,一般小于3%,均与送入电机的电流频率,成正比例或接近于正比例。因此,改变频率可以方便地改变电机的运行速度,也即变频对于交流电机的调速是十分合适的。 |







