电容器串联等效电容值计算公式
时间:2023-03-05来源:佚名
|
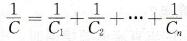
把几个电容器头尾依次连接起来,叫做电容器的串联。串联电容器的两端总电压,等于各个电容器上的电压之和。其总电容值为
式中 C-串联电容器的总电容; C1,C2,…,Cn-各电容器电容。 [例]求图1所示电路的等效电容及端口电压。 |
|
把几个电容器头尾依次连接起来,叫做电容器的串联。串联电容器的两端总电压,等于各个电容器上的电压之和。其总电容值为
式中 C-串联电容器的总电容; C1,C2,…,Cn-各电容器电容。 [例]求图1所示电路的等效电容及端口电压。 |








